|
木 钙 减 水 剂
一、木质素和木质素减水剂的概念
1 、木质素概述 木质素这一名称是由拉丁文衍生而来的,原意为木材,木质素是由苯丙烷为单元构成的天然聚合物,为树木的主要成分,是仅次于糖类的最丰富的天然有机聚合物。木质素占针叶树材重量的 27 ~ 37% ,阔叶树材重量的 16 ~ 29% (以绝干材为基准)。
木质素是一类由香豆醇、松柏醇和芥子醇三种苯丙烷单体经过酶作用后发生任意偶合反应,脱氢聚合而且成的具有三度空间结构的无定型高聚物,它存在于木质化的植物中。木质素在木材中起粘接作用,比如把木材看作钢筋混凝土的话,纤维就是钢筋,木质素就是水泥,木质素在木材中主要起提高强度的作用。就其结构和不均一性而言,是最复杂的天然高聚物。
2 、工业木质素的来源 工业木质素从木材制浆废液中(极少数由草类制浆中制得)的。目前,世界上仅有两种商品化的工业木质素,木质素磺酸盐和硫酸盐木质素,这两种工业木质素是亚硫酸法和硫酸盐法制浆厂的副产品,世界上木质素产品的年产量约为 2000 万吨。鉴于工业木质素来源于丰富的可再生森林资源,加上它的天然性,同时具有多种性能,使木质素产品在各种工业应用的重要性与日俱增。
3 、木质素磺酸盐 木质素磺酸盐又称为亚硫酸木质素,它是亚硫酸盐法制浆的副产品,商业上的木质素磺酸盐是亚硫酸盐废液、纯化的木质素磺酸盐或其衍生物。
亚硫酸盐纸浆废液的组成
|
成份 |
总固形物 % |
|
针叶材 |
阔叶材 |
|
木质素磺酸盐 |
55 |
42 |
|
已糖 |
14 |
5 |
|
戊糖 |
6 |
20 |
|
非纤维素碳水化合物 |
8 |
11 |
|
醋酸和甲酸 |
4 |
9 |
亚硫酸盐法有三种(酸性、碱性、中性),其中最普遍的是酸性亚硫酸盐法。在酸性亚硫酸蒸煮条件下,木质素磺化成为水溶性物质,同时木质素也稍有脱甲氧基,生成邻苯二酚和甲基磺酸。一般亚硫酸法均采用酸性亚硫酸法。
二、木钙减水剂减水增强作用机理 在固体粒子(水泥)、分散介质(水)和溶质(外加剂)构成的分散系中,由于粒子处于不均匀的力场中,因而具有表面自由能,为了使体系趋于稳定,固体粒子的表面能就必须减小,这时表现为在介质中溶质(外加剂)的吸附作用,通过吸附可显著改变界面能,这种物质通常具有表面活性作用,而木质素磺酸盐就是一种阴离子表面活性物质。水泥在加水搅拌与凝结硬化过程中,由于水泥矿物带异性电荷的吸力,或是由于水泥颗粒在溶液中的热运动,造成棱角碰撞,吸附及粒子间的范德华力作用而引起絮凝状结构,在这种絮凝结构中,包裹着很多拌和水,从而降低了新混凝土的和易性,为此在施工过程中,为了保持所需的和易性,最好在拌和时,相应地增加用水量,这样一来势必使水泥结构形成过多的孔隙,影响混凝土的一系列物理化学性能,但是加入木钙减水剂后,由于木钙的憎水基团定向吸附于水泥颗粒表面,这样使水泥带有负电荷。具有相同电荷的水泥颗粒在电荷斥力的作用下相互斥离分散,水泥在加水初期形成的絮状结构变成分散结构,絮凝状凝聚体内的游离水被释放出来,从而达到减水的目的。有证据表明,木钙加入混凝土垢 ,混合 5 分钟已有 80% 以上的减水剂被吸附,在电子显微镜下清晰可见的水化点中心明显增加,水化物分布均匀,水化晶体纤维较长的各种微观特征。可见( 1 )加入木素磺酸钙,游离水蒸发留下的毛细孔减少,内部结构密实,也就是说,孔隙率的降低显然有利于混凝土强度的提高;( 2 )加入木素磺酸钙,改善了水泥的孔隙结构的大小及其分布状况;( 3 )加入木素磺酸钙,使结晶生长速度延缓,晶体生长更充分,因而得到更多的纤维状晶体相互穿插,形成坚强的网络结构,从而使混凝土强度显著提高。因此,在混凝土中掺用木钙减水剂,可减少混凝土拌和物的用水量,降低水灰比,改善和易性,有利于泵送,提高混凝土强度、密实性和耐久性。
三、减水剂优良的原材料和先进的生产工艺及其产品特点:
1 、针叶材亚硫酸法制浆废液的特征 众所周知,木质素磺酸盐干粉的质量决定于其中的木质素含量和它的结构,它直接与亚硫酸盐法蒸煮过程中所采用的工艺与所用木材材种有关,通过试验结果看出粘胶纤维浆废液中木质素磺酸盐含量高于造纸浆废液,两者约相差 6.7% 。 此外,针叶材的化学结构和阔叶材相比也有很大的差异,有人认为,在混凝土施工中掺入针叶材木质素减水剂,引气作用好,而阔叶材则不然。
2 、木钙减水剂生产制备工艺 为进一步提高木质素产品质量,在废液中对高分子部分和低分子部分分别加以利用,生产多品种、性能更好的产品来满足市场需求。为达到这一目的,我公司分别于一九八七年和一九九一年从丹素 DDS 、 DOW 公司引进了膜分离技术和设备,即超滤( UF )和纳滤( NF )设备,引进的超滤膜面积为 780m 2 ,精滤设备膜面积为 1400m 2 ,生产高纯度高分子木质素 5000 吨 / 年,普通分子木质素产品 3 万吨 / 年。木质素磺酸盐系列有高分子木质素磺酸钠高效减水剂、低糖、中糖、高糖木质素磺酸钙及其钠盐减水剂,可为用户提供更多的选择,满足不同建筑工程的需求。
( 1 )高效减水剂 粘胶纤维木浆废液→中和(沉淀)→发酵→超滤→浓缩→喷粉。
( 2 )普通减水剂(低糖:还原糖 8% 以下) 制浆废液→中和(置换)→沉淀→发酵→纳滤→浓缩→加热除糖(部分除糖)→喷粉 此工艺中如取消置换工序生产的就是木钙,以下同。
( 3 )普通减水剂(中糖:还原糖 8 ~ 12% ) 制浆废液→中和(置换)→沉淀→发酵→纳滤→浓缩→喷粉
( 4 )普通减水剂(高糖,缓凝减水剂,还原物 >12% ) 制浆废液→中和(置换)→沉淀→浓缩→喷粉
以上几种木质素磺酸盐以其独物的工艺、原材料以及制浆工艺的不同,有别于其它牌号的同类产品。
3 、木质素减水剂的特点 混凝土减水剂以其独特先进的工艺及原材料,有别于其它牌号的同类产品。其特点为:
( 1 )由于制备粘胶纤维木浆的特殊工艺,蒸煮彻底,磺化度高,因此,比造纸浆木素溶出量多,而高分子木素也可以溶出。粘胶纤维木浆废液的木素成分比造纸浆废液木素磺酸盐含量高,并且其平均分子量也大,再加上粘胶纤维木浆的主要原材料为白松,因而木素磺酸盐含量更高,所以其产品减水率要高于用造纸浆废液生产的减水剂;同时,由于废液中杂质较少,因而水不溶物也比造纸浆废液的低。
( 2 )降糖是利用生物发酵,而不是化学除糖,因而产品中的杂质少,纯度较其它品牌高,同时,由于采用纳滤浓缩技术,在浓缩过程中进一步降低了糖及其它盐类,纯度进一步提高,保证了木质素产品的质量,也使我公司减水剂产品以其较其它品牌减水剂更高的质量及稳定性称雄于国内,也是唯一的木钙出口单位。出口创汇也从侧面反映了我公司减水剂的质量水平。
4 、木钙减水剂质量的稳定性 近些年来,一些建筑单位都感到我公司的木质素产品中糖份是一个障碍,而现在我公司生产的木质素磺酸盐不仅糖份,而且其它指标都得到改善,那么,我公司目前生产的应用于混凝土减水剂的木质素磺酸钙的质量稳定性如何?这是用户所关心的一个重要问题,现在仅将我公司去年下半年生产的木质素磺酸钙的质量情况作一分析,通过下表的质量检验结果,我们可以看出,质量是比较稳定的。
木质素磺酸钙减水剂质量分析
|
分析
项目 |
质量
标准 |
检 验 时 间 |
质量分析 |
|
7.9 |
8.21 |
9.1 |
10.15 |
11.8 |
12.8 |
|
|
水份( % ) |
<7 |
4.1 |
4.3 |
4.0 |
5.2 |
5.2 |
4.7 |
|
|
pH |
4.5-5.5 |
4.7 |
4.7 |
4.7 |
5.0 |
5.0 |
4.7 |
|
|
还原物( % ) |
<12 |
11 |
11.5 |
11 |
11.5 |
11.5 |
11.5 |
11.25 |
|
水不溶物( % ) |
<2.0 |
0.2 |
0.37 |
0.25 |
0.34 |
0.34 |
0.34 |
0.32 |
注:水不溶物中 80% 为饱和 CaSO 4 .2H 2 O
四、木钙减水剂主要性能指标与经济效果
1 、改善混凝土性能 水水泥用量相同,坍落度与空白混凝土相近,可减少用水量 10 ~ 15% , 28 天强度提高 10 ~ 20% , 1 年强度提高 10% 左右,同时,抗渗、抗冻、耐久性能也明显提高。
2 、节约水泥 当混凝土的强度和坍落度相近时,可节省水泥 10% 左右,使用 1 吨减水剂可节省 30 ~ 40 吨水泥。
3 、改善混凝土和易性 当混凝土的水泥用量和用水量不变,低塑性混凝土的坍落度可增大两倍左右(由 3 ~ 5cm 提高到 8 ~ 18cm ),早期强度与未掺者基本接近。
4 、有缓凝作用 掺入 0.25% 的木钙减水剂后,在保持混凝土坍落度基本一致时,初凝时间普通水泥延缓 1 ~ 2 小时,矿渣水泥 2 ~ 4 小时,终凝时间普通水泥 2 小时,矿渣水泥 2 ~ 3 小时。若不减少用水量而增大坍落度时,或保持相同坍落度而用以节省水泥用量时,则凝结时间延缓程度比减水的更大。
5 、能降低水泥早期水化热 放热峰出现的时间比未掺者有所推迟。普通水泥约 3 小时,矿渣水泥约 8 小时,大坝水泥在 11 小时以上,放热峰最高温度与未掺者比较,普通水泥略低,矿渣水泥及大坝水泥均低于 3 ℃ 。
6 、混凝土含气量有所增加 空白混凝土的含气量为 1% 左右,掺 0.25% 木钙后的混凝土含气量为 3.6% 左右。
7 、泌水率减少 在混凝土的坍落度基本一致情况下,掺木钙的泌水率比不掺者可降低 30% 以上,在保持水灰比不变,增大坍落度的情况下,也因木钙亲水性及引入空气等原因,泌水率下降。
8 、干缩性能 初期( 1 ~ 7 天)与未掺减水剂的相比,基本接近或略有减小, 28 天及后期(除节约水泥者外),略有增加,但增大值均未超过 0.01% ( 0.01mm /m )。
9 、对钢筋无锈蚀危害
五、木钙减水剂的应用范围和主要用途
木钙减水剂经过多年在全国推广使用,证明其对混凝工程的适应性很广泛。特别适用于以下混凝工程需要:
基础混凝土 流态混凝土 塑化混凝土
自密实混凝土 大体积混凝土 预应力混凝土
耐油混凝土 抗渗混凝土 防水混凝土
抗蚀混凝土 喷射混凝土 泵送混凝土
加气混凝土 低温抗冻混凝土
港工混凝土 水工混凝土
自然养护预制件混凝土
砼建筑接缝不凿毛专用混凝土
装饰用缓凝、砂浆、掺用粉煤灰的混凝土。
六、注意事项
1 、严格控制,切忌过量
作为普通减水剂使用时的掺量约为 0.2% ;
作为缓凝引气减水剂使用时的掺量为 0.2 ~ 0.3% ;
作为超缓凝引气减水剂使用时的掺量为 0.3 ~ 0.5% ;
作为早强剂复合使用时的掺量为 0.05 ~ 0.2% ;
2 、注意施工温度
因具有缓凝作用,气温较低时更明显,因此对于一般的工业与民用建筑工程,规定日最低温度 + 5 ℃ 以上放可单独掺木钙, 低于 + 5 ℃ 时, 应与早强剂复合使用。
3 、本产品对硬石膏为调凝剂的水泥有时会出现不适应现象,应通过试验后使用。
4 、对引气量要求的混凝土,应选择合适的振捣设备和振捣时间。
木质素磺酸钙
一、产品介绍 木质素磺酸钙为亚硫酸盐木浆废液的主要成分,它是经先进的生产技术加工制成的具有咖啡色的粉末状固体,极易溶解于水。它是一种高分子电解质其分子量由 1000-100000 。其中 10000-40000 的分散性尤其有效,普通性的木素磺酸盐,它具有分枝的和交联的分子结构。 木质素磺酸钙具有强力的分解性、粘结性、蟹合性。如上所述由于木质素磺酸钙的分子量的不同,具有不同程度的分散性,木质素磺酸钙有水溶性亲液胶体性质,质点上带有电荷,是一种表面活性物质,能吸附在各种固体质点的表面上,更因它是强酸性所成的盐,所以可以进行离子交换作用,再者因为在木质素磺酸的组织结构上存在着有各种活性基,更能产生内在的聚合作用或与其他化合物发生缩合作用。
基于木质素磺酸钙具有上述的各种特性,所以可作为混凝土减水剂。水泥料浆稀释剂、砂型加固剂、农药乳化剂、选矿分散剂、皮革预鞣剂、陶瓷或耐火材料增塑剂、油井或水坝灌浆凝胶剂 ……. 等等。目前已在我国建筑、水电、冶金、石油、采矿、陶瓷等工业,得到广泛地应用。
二、木质素磺酸钙减水剂的质量标准
本公司生产的木质素磺酸钙减水剂的质量经核定是稳定的
1 、木钙质量标准 (1) 水份≤ 7 % (2) 水不溶物≤ 2.0 % (3)PH 值: 4-6 (4) 还原物≤ 12 %
2 、木钙执行标准 GB8076 混凝土外加剂。
3 、木质素磺酸钙减水掺入混凝土中的用量和溶解方法 木质素磺酸钙减水剂对水泥的用量为 0.2-0.3 %。一般应用 0.25 %,例如 1 立方米 混凝土中用 400kg 水泥,则掺用木质素磺酸钙 1.0kg 。 溶解方法:每次将每袋木素磺酸钙干粉 25kg 溶解于 200 公斤 清水中,充分搅拌,使他完全溶解。为了施工操作方便,可以用定量法,即将溶解好的减水剂一次倾入拌合机中。
4 、木质素磺酸钙具体用途 (1) 用作建筑混凝土工程减水剂、缓凝剂、能改善和易性,提高工程质量。 (2) 作为粘性剂,可用于铸造砂型陶瓷和耐火材料的增强剂。 (3) 用作选矿浮选剂和冶炼矿粉粘结剂。 (4) 可用作农药填充和乳化剂。
1 、 Product Introduction The main ingredient of lignin calcium sulfate is sulfate wood pulp waste. Calcium Sulfate is a kind of power solid with the coffee color made by advanced production technology with good solubility. It is a kind of macromolecule electrolyte with 1000-100000 molecular weight. Among the molecule weight 10000-40000dispersing capability is especially effective. The ordinary lignin sulfonic salt has ramose and intersectant molecular structure. Lignin calcium sulfate features strong dispersing ability, viscosity and adhesion. As said above that the molecular weight of lignin calcium sulfate is different, so it has different degree of dispersing ability. It has the feature of water-solubility hydrophilic pectic with electric charge on the particle. It is a kind of superficial active material and can absorb on the surfaces of all kinds of solid particles. It's a kind of salt produced by the strong acid, so it can be conducted metal hydronium exchange action. All kinds of active genes existing on the organic structure of lignin sulfur acid enable the intrinsic polymeric actions or yield condensation actions with other compounds. Due to the above-mentioned characteristics of lignin calcium sulfate, it can be used as concrete water-reducing material, thinner for cement pulp, sand reinforcement material, pesticide emulsion, mill run dispersant, leather pre-tanning material, plastics adding material for porcelain of fire resistant material, grouting jello for oil well or dam and so on. At present Hengji lignin Calcium Sulfate is widely used in such industries as building industry, water and electricity, metallurgy, pesticide, petroleum, mining and porcelain industries, etc.
2 、 The Application of lignin Calcium Sulfate Product as Water reducing Material for Concrete The functional principium of water-reducing and reinforcement function of the Lignin Calcium Sulfate Product in concrete Lignin calcium sulfate and lignin natrium sulfate water-reducing material is a kind of superficial active material. Adding it into the concrete can make the cement carry negative charge because its hydrophobia gene groups are absorbed to the surfaces of cement granules. The cement granules with the identical electric charge will repel one another under the actions of electric charge repelling forces. Then the flocculate structure of the cement will change into dispersing structure, and the dissociate water within the flocculate agglomerating group will be release so as to obtain the function of water-reducing material. The observation shows that after having added into the concrete, more than 80% lignin calcium sulfate the water-reducing material will be absorbed after mixing for five minutes. The obvious hydrating point under the electric microscope will increase clearly, the hydrate will evenly disperse. And all kinds of microcosmic characteristics of the hydrate crystal fibers will unfold. It can be seen that the adding of lignin calcium sulfate can enable the capillary holes left by dissociate water evaporation much less and the inner structure much thicker. Namely that the reducing of the small opening rate is favorable for the improvement of concrete intensity and it can improve the hole structure sizes of cement and its distribution so as to postpone the growth speed of the crystal and enable more sufficient growth of the crystal. Then more fiber-shaped crystals will intersect with one another and form tough network structure so that the intensity of the cement will be evidently improved. Therefore the blending of lignin calcium sulfate water-reducing material can reduce the water content in the concrete mixture, decrease the proportion of water and ash that is helpful for the pump carrying and can improve the concrete intensity, close-grained degree and durability.
3 、 Main performance parameters and economic effects of Lignin Calcium Sulfate Water-reducing Material 1.Improving the concrete performance When the dosage of the concrete is the same, and the landslide degree is close to the blank concrete, reducing 10-15% water dosage, the strength in 28 days will improve 10-20% and the one year will improve around 10%.
2.Retrenching cement When the strength and the landslide degree are close, it can retrench 10% cement and one ton of water-reducing material will retrench 30-40 tons cements.
3. Improving the concrete's unassuming ability When the cement dosage and water dosage of the concrete do not change, the landslide degree of low plastic concrete can be increased about twice (from 3 -5cm to 8 -18cm ) and the earlier strength and latter strength are close.
4. Having the functions of retarder After mixing 0.25% lignin calcium sulfate water-reducing material, when the landslide degree of concrete are the identical, the early solidification time of the common cement will last 1-2 hour(s) , that of the scoria cement will last 2-4 hours. The final solidification time of the common cement will last 2 hours, that of the scoria cement will last 2-3 hours. If the water dosage unchanged while the landslide degree increased or the landslide degree kept the same to save the cement dosage then delay degree of the solidification time will be larger than that of the water-reducing one.
5. Reducing the early hydrate heat of cement The exothermic pinnacle time is slightly postponed than the unmixed one. The time for the common cement is about 3 hours, that of the scoria cement is about 8 hours and that of the dam cement is above 11 hours, If view of the maximum temperature of the exothermic pinnacle and that of the unmixed one, the temperature of the common cement is slightly lower, those of the scoria cement and the dam cement are both lower than 30C .
6. Gassy contents of the concrete will increase The gassy content of the blank concrete is around 1% that of the concrete mixed with 0.25% lignin calcium sulfate is around 3.6%.
7. The water-seepage rate will reduce When the landslide degree of concrete are the identical, the water-seepage rate of the concrete mixed with lignin calcium sulfate will reduce more than 30% than the concrete unmixed with lignin calcium sulfate. When the proportion of the lignin calcium sulfates and air inhalation.
8. Dry-shrinking performance Compare the dry-shrinking performance of the early water-reducing material (1-7days) with that of the unmixed water-reducing material, the dry-shrinking performance is almost close or reduced slight. The one after 28 days (except to save cement) will increase slightly. But the increased values will not overpass 0.01 %( 0.01mm /m).
9. Increasing the close-grained degree of the concrete and improving the antitransudatory capability of concrete Increase from B=6 degree to B=12-30 degree
10. Non-Chlorine salt is not rust harmful to the reinforcing bars
11. Non-alkaline active materials 4 、 Quality standards of Hengji Lignin Calcium Sulfate Water-reducing The quality of the Lignin calcium Sulfate Water-reducing Material made by our company is proven to be stable.
1. Quantity Standards of Lignin Calcium Sulfate: 1)MOISTURE :≤ 7% 2 ) WATER INSOLUABLE :≤ 2.0% 3)PH VALUE : 4-6 4)REDUCTIVE MATERIAL :≤ 12%
2.main performance parameters lignin calcium : GB8076Concrete additives lignin Calcium through examination 。
3. The dosage and soluble method of the lignin calcium sulfate water-reducing material mixed in the concrete. The dosage of lignin calcium sulfate water-reducing material compared with the ciment is 0.2-0.3%.Generally speaking , it shall be added 0.25% , for, example, one stere concrete will be added 400kg cement, then the mixed lignin calcium sulfate water-reducing material shall be 1.0kg . Soluble method : For each time , dissolve 25kg lignin calcium sulfate power per sack into 200kg water, and make it full soluble after sufficient mixing , For he purpose of convenient operation in the construction, you can use the fixed quantity, i.e., pour the well-dissolved water-reducing material into the mixer one-off.
4. Using metheods of lignin calcium sulfate: 1) Lignin calcium sulfate is used for improving, The water-reducing materials and retarder of concrete engineering's unassuming abillty. 2)Adhesive : It can be used to make porcelain Household utensils and the fire-resistant materials. 3) Lignin calcium of lignin is also used for mill run floatation close and mining pouder adhesive. 4)It's used for filling and emulsion of pesticide.
5 、 The Application Scope and Main Purposes of Hengji Lignin Calcium Sulfate Water-reducing Material After years of popularization and using in all over the country, Our company Exports to many other countries this goods For example : korea Japan Australia Taiwan Hongkong etc. lignin calcium sulfate water-reducing material is proven to be in wide application for the concrete engineering.
1.It?s especially suitable for the following concrete engineering: Basic concrete, fluid concrete, plastic concrete, self close –grained concrete, Largesize concrete, pre-stress concrete, grease-proof concrete, anti-seepage concrete, waterproof concrete, anti-corrupt concrete, spray concrete, pump-carry concrete, aerocrete, low-temperature anti-freezing concrete, port-engineering concrete, water-engineering concrete and prefab components concrete for natural maintenance, special concrete used for the purpose of non-burr-chisel for the iuncture of concrete building , edcorationg concrete for coagulate-postpone, mortar, mixture power coal.
2.Notice (1)Strict control to avoid excessive dosage The mixing dosage when used as the common water-reducing material is 0.2%; The mixing dosage when used as the solidification postponing & air inhaling water-reducing material is 0.2-0.3%; The mixing dosage when used as the super solidification postponing & air inhaling water-reducing material is 0.3-0.5%; The mixing dosage when used as the earlier strong compound is 0.05-0.2%.
(2)Pay attention to the construction temperature The solidification postponing function will be more evident when the temperature is lower . Therefore, when it's used for the ordinary industrial and civil architectural engineering, the lignin calcium sulfate can be mixed when the daily minimum temperature is above + 50C . It shall be mixed with the earlier strong compound when the daily minimum temperature is below + 50C .
(3)This product sometimes is not adaptable for the cement using anhydrite as the solidification-adjusting material, so please test before use.
(4)The concrete with requirement on the air-inhaling quantity shall select suitable smashing equipment and time.

木钙减水剂对混凝土减水或增加流动度示意图 |
可以看出,基本结构是苯基丙烷衍生物,木素磺酸盐分子被认为由任意卷曲的交联的多芳侧键所组成,其中含有羰基和苯酚基。接近粒子表面的阴电荷使木素磺酸盐保持在水中的溶解度。
试剂(分析纯或化学纯) a 、磷酸氢二钠( Na2HPO3 ) b 、酒石酸钾钠( KNaC4H4O6 · 4H2O ) c 、硫酸铜( CuSO4 · 5H2O ) d 、无水硫酸钠( Na2SO4 ) e 、碘酸钾( KIO3 ) f 、碘化钾( KI ) g 、硫代硫酸钠( Na2S2O3 · 5H2O ) h 、标准葡萄糖( C6H12O6 )
木素磺酸钙干粉生产流程图
1 、一段酒糟泵 2 、酒糟贮槽 3 、二段酒糟泵 4 、燃油炉 5 、笼型磨 6 、分离器 7 、稀粘合剂贮槽 8 、稀粘合剂泵 9 、 1 号加热器 10 、 2 号加热器 11 、分离器 12 、循环泵 13 、粘合剂成品贮槽 14 、粘合剂成品泵 15 、粘合剂贮槽 16 、粘合剂泵 17 、燃油炉 18 、高位槽 19 、干粉塔 20 、空压机 21 、 1 号风机 22 、 1 号旋风分离器 23 、 2 号风机 24 、 2 号旋风分离器 25 、成品包装 26 、袋滤器 27 、喷嘴
减水剂对水泥水化行为的影响
1 、研究了木素磺酸钙 (calcium lignosulfonate , CLS) 、氨基磺酸高效减水剂 (amino-sulfonic based superplasticizer , ASP) 、萘磺酸甲醛缩合物 (sulfonated naphthalene formaldehyde , FDN) 和三聚氰胺脲醛树脂 (sulfonated melamine urea formaldehyde resin , SMUF)4 种减水剂对水泥水化行为的影响。结果表明:随着 CLS 和 ASP 掺量 ( 质量分数 ) 的增加,水泥水化温峰出现的时间延迟,温峰值降低,达到稳定水化程度所需的时间增加。 FDN 和 SMUF 则对水化温峰值、温峰出现和达到稳定水化程度所需的时间影响不大。 4 种减水剂均可提高水泥水化初始期的水化速率和延长诱导期。 FDN 对初始期水化速率的提高作用最强,当 FDN 的掺量为 0.6 %时,第一水化速率峰为 60kJ / (kg · h) ,而空白样仅为 12kJ / (k g · h) 。水化初始期后, CLS 可以显著延长水化诱导期和降低其第二水化速率峰值,当 CLS 的掺量从 0 增加到 0.6 %时,水泥水化诱导期由 11h 延长到 40h ,第二水化速率峰由 49.8kJ / (kg · h) 降低到 29.5 kJ / (kg · h) 。而 ASP 的掺量为 0.6 %时,则水泥水化诱导期由 7 h 延长到 29 h ,但不降低第二水化速率峰值。 FDN 对第二水化速率峰的出现有轻微的延迟作用, SMUF 也可延迟第二水化速率峰的出现,却一定程度提高了第二水化速率峰值。减水剂对水泥颗粒的分散作用和对水化产物生成的影响是其对水化行为影响的主要原因。
EFFECT OF WATER REDUCERS ON HYDRATION BEHAVIOR OF CEMENT
The effects of four water reducers : calcium lignosulfonate (CLS), amino-sulfonic based superplasticizer (ASP), sulfonated naphthalene formaldehyde (FDN) and sulfohated melamine urea formaldehyde resin(SMUF)on the hydration behavior of portland cement were researched . The results show that . with the increase of CLS and ASP , the peak hydration temperature of cement was reduced and the age required to reach the peak temperature and maximum hydration degree was delayed . FDN and SMUF had little impact on the peak hydration temperature and the age required reaching the peak temperature and maximum hydration degree . The hydration rate during the hydration starting period is accelerated and the hydration induction period is extended by the four water reducers . FDN promotes initial hydration best and increases the first hydration peak rate from 12 — 60 kJ / (kg · h)at dosages from 0 — 0.6 % during the hydration starting period . Because CLS increases the length of the induction period and greatly reduces the second hydration rate peak of cement paste . With the dosage of CLS from 0-0.6 %, the hydration induction period of cement paste is extended from 11-40 h, and the second hydration rate peak is reduced from 49.8 — 29.5 kJ / (kg · h) , The induction period is also extended by ASP from 7 — 29 h at a dosage of 0.6 %, but the second hydration rate peak does not reduced . With the addition of FDN and SMUF , the induction period is slightly extended . This effect on the hydration behavior of cement in plasticizer is favorable for improving the dispersive action of cement and affecting the hydration products .
(1) 随着 CLS 和 ASP 掺量的增加,水泥的水化温峰值降低,温峰出现的时间延迟。 FDN 和 SMUF 则对水化温峰值和温峰出现的时间影响不大。
(2)CLS 和 ASP 掺量越大,水泥达到稳定水化程度所需的时间也越长。 FDN 和 SMUF 对达到稳定水化程度所需的时间影响不大。
(3) 在水化初始期间, 4 种减水剂都能提高水泥第一水化速率峰值,其中 FDN 的提高幅度最大。水化初始期之后, CLS 能够显著降低水泥第二水化速率峰,而 ASP 则只延迟但不降低水化速率。 FDN 对第二水化速率峰的出现有轻微的延迟作用, SMUF 也可延迟第二水化速率峰的出现,却一定程度提高了第二水化速率峰值。
(4) 比较 4 种减水剂, CLS 对水化诱导期的延长作用最显著,其次为 ASP 。
3 、研究了不同减水剂对水泥浆体初期水化热、电性能、化学收缩的影响,结合采用 XRD ,分析了木钙、萘系、聚羧酸减水剂对水泥水化的作用机理。结果表明,减水剂的加入能抑制 C 3 A 、 C 3 S 、 C 2 S 水化,阻碍矿物最初相的析出及减少水化产物 CH 晶体的生成,从而减缓浆体结构的发展、降低水化放热、减小化学收缩。与萘系、木钙相比,分子结构中含有的羟基 (-OH) 、羧基 (-COO - ) 、磺酸基 (-SO 3 - ) 、聚乙氧基 (-OCH 2 CH 2 -) 等官能团的聚羧酸减水剂更易抑制水泥初期水化,减缓和延迟水化放热、延缓结构形成、降低化学收缩。 Through researching on the hydrational heat, the electrical-properties and the chemical shrinkage of hydrated cement at early age , additionally by using of XRD , the mechanism of influences of different types of waterreducers on the cement hydration is discussed. The rezults show that , the waterreducers are able to restrain the hydration of C 3 A 、 C 2 S and C 3 S , to hinder the initial crystallization of produced mineral and to reduce the formation of CH crystal , so that the development of paste structure is delayed, the hydrational beat is decreased and the chamical shrinkage is reduced . Compared with the waterreducers of calcium lignosulfonate and naphthanlene, the poly carboxylate can more easy to restrain the initial hydration , to slow down the hydrational heat and to delay the formation of strcture , becaues of there are many functional groups whthin its molecules , such as hydroxyl (-OH) , carboxyl (-COO - ) , sulfonic (-SO 3 - ] , polyethytene (-OCH 2 CH 2 -) , etc .
(1) 减水剂的加入能抑制 C 3 A 、 C 3 S 、 C 2 S 水化,阻碍 CH 晶体的生成、减缓浆体结构的发展、减小化学收缩、增强第一放热温峰、延缓消弱第二温峰。
(2) 与萘系、木钙相比,聚羧酸减水剂依靠其分子结构中含有的羟基 (-OH) 、羧基 (-COO - ) 、磺酸基 (-SO 3 - ) 、聚乙氧基 (-OCH 2 CH 2 -) 等官能团的作用,更易抑制矿物最初相的析出,延缓、消弱第二放热峰,延缓结构形成、减小化学减缩。
1 、木质素磺酸钙, NF 减水剂对硅酸盐水泥,普通硅酸盐水泥、矿渣硅酸盐水泥、火山灰硅酸盐水泥均有减水、增强作用。 2 、减水剂减水增强效果与水泥熟料的矿物组成中的 C 3 A 含量有较大的关系。 C 3 A 含量低的减水剂的效果更明显。 3 、水泥的含碱量较大地影响减水剂的使用效果,一般含碱量高,减水剂的效果差,含碱量低,减水的作用显著。 4 、掺矿渣煤矸石混合材料的水泥,加减水剂后一般分散效果更好。 5 、对 C 3 A 含量高,碱含量高的水泥使用减水剂,适当增大掺量可取得一定的效果。对不同水泥来讲,减水剂的最佳掺量是不同的。 6 、对于掺硬石膏的水泥,不同种类的减水剂使用效果不同,有的出现速凝、速硬现象这是值得严重注意的问题。 7 、节约水泥,混凝土中掺该剂后可节约水泥 10%~15% ,则每一吨外加剂可节约水泥 30 吨,相应的每吨外加剂可节约能耗(已扣去生产外加剂的能耗) 33100 大卡,折合标准煤约 5.5 吨。 8 、超塑化剂在水泥浆体中有强烈的分散作用,这种分散作用是由于超塑化剂吸附在水泥颗粒表面,引起了 Zeta 电位值变化,使电动电位值明显提高。变水泥颗粒逐之间的吸引力为电斥力,这样就破坏了水泥颗粒之间的网状凝聚,阻碍了凝聚作用,增加了有效水化面积,从而改变了水泥浆体原有的流变特性,使和易性变好,流动度增加。在减水的同时不改变可加工性。因此, Zeta 电位值对研究含有塑化剂的水泥浆体的流变特性时有重要意义。 9 、通过 Zeta 电位,流动度、表观粘度、吸附等温线的各项实验,均发现了超塑化剂对水泥流变特性的影响上是有一定的联系;它们都随超塑化剂的种类和浓度变化而变化,且变化趋势也有较好的一致性;可用以定性说明某种超塑化剂对水泥浆体流变特性的影响。
木质素磺酸钙及木质素磺酸钠减水剂
减水剂又称为分散剂或塑化剂,由于使用时可使新拌混凝土的用水量减小,因此而得名。在混凝土坍 落度基本相同的条件下,能减少拌合用水量小于 10 %的外加剂,称普通减水剂。属木质素类,系阴离子表面活性剂;基本组分是苯甲基丙烷衍生物。
表 1 质量指标
|
项目 |
指标 |
|
木质素磺酸盐( % ) |
> 55 |
|
还原糖分( % ) |
< 12 |
|
水不溶物( % ) |
2 ~ 5 |
|
pH 值 |
4 ~ 6 |
|
外观 |
棕黄色粉末 |
其结构如图 1 所示。

图 1 减水剂结构图
结构中 M 为 N + 、 K + 或 Ca 2+ 等阳离子。木质素系减水剂合成工艺流程见图 2 。

图 2 木质素系减水剂合成工艺流程图 一、木钙减水剂混凝土的性能指标
1 .减水率,不小于 8 %。 2 .泌水率比,不大于 95 %。 3 .含气量;不大于 3 %。 4 .凝结时间差, -90 ~ +120min ,具有缓凝作用,使水化热的释放速度明显减慢,放热峰值也显著降低。 5 .抗压强度比 (C × 0.3 % ) , ? 3 ≥ 115 %, ? 7 ≥ 115 %, ? 28 ≥ 110 %。 6 . 28d 收缩率比;≤ 135 %。 7 .在保持新拌混凝土和易性不变的情况下,可减少拌合用水量 10 %左右,可使龄期 28d 的混凝土抗压强度提高 10 %左右。 8 .在保持混凝土抗压强度不变的情况下,可节省水泥用量 10 %左右。 9 .提高混凝土密实性,改善混凝土抗渗能力,对钢筋无锈蚀作用,混凝土抗冻、耐久性等也明显提高。 10 .收缩,由于水分蒸发而引起的干燥收缩和由水泥水化产生的凝缩统称混凝土的收缩。 (1) 配合比和用水量不变,因掺 MJ 而增大坍落度,则混凝土收缩大于空白混凝上。 (2) 在保持拌合物坍落度不变,因掺 MJ 而减水增强,则掺与不掺 MJ 收缩大体相等。 (3) 保持强度不变和因掺 MJ 而节约水泥,收缩值小于空白混凝土。 11 .弹性模量,当强度相同时,掺用 MJ 减水剂后,弹性模量略高于空白混凝土。 12 .极限拉伸应变,水工混凝土重要性能之一是极限拉伸应变,水坝应具有高极限拉伸应变,以提高其抗裂性。用 MJ 减水剂的混凝土的极限拉伸应变略有增大。 13 .徐变,水工大体积混凝土要求有较大的徐变度,以适应温差应力,而预应力混凝土结构则希望徐变较小而减小预应力损失。强度不变,掺 MJ 节约水泥后徐变增大;若水灰比不变,掺 MJ 增大坍落度则混凝土徐变增大 30 %左右;掺 MJ 在减水提高强度时,混凝土徐变度明显减小。 14 .抗冻融性,掺 MJ 混凝土抗冻融性能优于不掺的空白混凝土。 15 .抗渗性, MJ 减水剂使混凝土减水和适量引气,因而可提高混凝土抗渗性 1 倍左右。 16 .改善混凝土的工作性,提高施工速度和施工质量,满足机械化施工要求,减少噪声及减轻工人劳动强度。混凝土制品生产工艺中较普遍存在的“流水不畅、振耳欲聋、雾海航行”等问题,若使用减水剂必将得到大大改善。 减水剂有很多种,根据其主要成分常用减水剂可分为以下五大类: (1) 木质素磺酸盐及其衍生物,如用造纸厂废液制成的木质素磺酸钙、木质素磺酸钠、木质素磺酸镁,此类减水剂属普通减水剂。 (2) 糖蜜类,如利用糖厂下脚料废糖蜜制成的糖蜜减水剂,也属普通减水剂。 (3) 芳香族多环聚合物的磺酸盐,它是用萘、蒽、菲等原料制成的减水剂,如 UNF 等,此类减水剂效果较好,属高效减水剂。 (4) 水溶性树脂磺酸盐类,如磺化三聚氰胺树脂、磺化古玛隆树脂等。 (5) 其它如腐植酸等。
二、掺量 木钙减水剂适宜掺量为水泥重量的 0.25 %~ 0.3 %,此范围内减水率及强度增长率都最高,超过此范围提高幅度下降,当掺量达到 0.50 %时,强度与不掺减水剂的接近。当大于 0.75 %,则强度急剧下降。 超掺量木钙减水剂混凝土的强度还与温度有密切关系,如木钙掺量为 0.5 %时,在 30 ℃ 、 0 ℃ 养护条件下试件除早期强度有影响外,后期强度仍随龄期而增长,都能达到基准混凝土强度,但在 10C 养护条件下,混凝土较长时间不能凝结,直到 6 个月才达基准混凝土强度的 90 %。当掺量为 1 %~ 1.5 %时,混凝土早期无强度,到 6 个月仅为基准混凝土强度的 18 %~ 34 %。 超掺量木钙混凝土早期强度下降的原因主要是木钙有缓凝作用,使混凝土强度增长缓慢,在适宜掺量范围内,凝结时间比不掺的延缓 2h 以上,当掺量为 0.75 %时,在坍落度相同条件下,凝结时间延缓 7h 以上,如果掺量更大,混凝土可数天不凝,强度很低。后期强度下降的原因,是由于超掺量会增加混凝土含气量,掺量 0.5 %含气量达 5 %,掺量 0.75 %含气量达 7 %,掺量为 1 %时含气量可达 10 %。含气量增加 1 %,混凝土强度下降 4 %~ 6 %,因此掺量愈大强度下降愈多,掺量为 0.3 %水泥用量时,引气量约为 4 %。 掺减水剂混凝土的拌合物,自搅拌机卸出到浇筑完毕的这段时间内,浇筑和振捣方法等与不掺减水剂的混凝土相同。在用硬石膏或工业废料石膏作调凝剂的水泥中,掺用木质素磺酸盐减水剂时应先做水泥适应性试验,合格后方可作用。用硬石膏或工业废料石膏做调凝剂的水泥,在掺用木质素磺酸盐减水剂时会引起速凝。
三、用途 减水剂具有减水、增强、引气、缓凝等综合效应,可用于一般混凝土工程。宜用于日最低气温 5 ℃ 以上施工的混凝土,不宜单独用于蒸养混凝土。适用于水利、港口、交通、工业与民用建筑的现浇和预制的混凝土和钢筋混凝土工程,大体积混凝土、大坝混凝土、泵送混凝土、大模板、滑模施工用混凝土及防水混凝土等。可节约水泥、改善工艺性能、降低水泥早期水化热及提高混凝土质量。 低温养护时,木钙减水剂混凝土 7d 前的强度增长率较为缓慢,仅为不掺减水剂混凝土强度的 70 %~ 80 %,但 7d 后强度增长率仍继续上升。因此,有早强要求的混凝土应考虑温度影响,而不宜单独使用木钙减水剂。 木钙减水剂的引气量较大,并具有缓凝性,混凝土浇筑后需要较长时间才能形成一定的结构强度,所以用于蒸养混凝土必须延长静停时间或减少掺量,否则蒸养后混凝土容易产生微裂缝、表面酥松、起鼓及膨胀等质量问题。因此,普通减水剂不宜单独用于蒸养混凝土 ( 图 3) 。

图 3 木钙在混凝土中的三大作用示意
我国木质素产品年产量约 10 万 t 左右,主要是广州、开山屯、石砚等纸厂生产的木质素磺酸盐,另有少量草类碱木质素产品,绝大部分为粗产品,品种少,性能差,由于应用范围有水剂 ( 约 4 万 t) 、石油钻井液稀释剂 ( 约 2 万 t) 、农药分散和矿粉粘合剂、耐火材料粘合剂等,只有少量经过精加工制成染料分散剂等高附加值产品。 随着我国国民经济的发展和木质素产品市场的不断形成,木质素产品在我国具有越来越广阔的市场前景。估计木质素粗产品及其精加工产品年需求量为:混凝土外加剂达 25 万~ 40 万 t ,油田化学品的需求量达 20 万~ 30 万 t ,另外木质素也被广泛用于工业分散剂和粘合剂,其年需求量达 15 万~ 20 万 t 。此外,我国是农业大国,木质素在农业方面的应用潜力十分广阔,如复合缓释肥料、土壤改良剂、农药缓释剂等用量也很大。随着木质素产品性能的提高和市场的不断开发,木质素产品在我国的需要量将不断增加。
四、机理 表面活性剂或称界面活性剂,溶解于液体,并在液体表面定向排列,从而降低界面能,这种现象称为表面活性,具有这种表面活性的物质称为表面活性剂。这种物质的表面活性使其具有湿润、乳化、分散、起泡、润滑等作用。 表面活性剂的分子是由两部分组成:一部分是溶于油而难溶于水的亲油基团,称为憎水基;另一部分是易溶于水而难溶于油的亲水基团,称为亲水基。(如图 4 所示)当亲水基的亲水性大于憎水基的憎水性时,此类表面活性剂即为亲水性的,否则为憎水性的。目前混凝土中用的有机外加剂,多属亲水性表面活性剂,又称水溶性表面活性剂。表面活性剂按其离子类型又分为:离子型表面活性剂 ( 包括阴离子表面活性剂、阳离子表面活性剂和两性表面活性剂 ) 与非离子型表面活性剂两类,在混凝土中多用阴离子型表面活性剂。

图 4 表面活性剂的分子示意
减水剂多为亲水性表面活性剂,在水中离解后,按其基性定向排列吸附在水泥颗粒表面,产生的静电相斥作用,使水泥颗粒分散,把原来呈聚凝状所包裹的游离水释放出来,从而取得减水的效果。减水机理如图 5 所示。

(a) 水泥浆的絮凝结构 (b) 减水剂作用简图
图 5 减水剂的减水机理
五、减水剂的技术经济效果 水泥的矿物组成中 C 3 S 和 C 3 A 对水泥水化速度和强度的发挥起决定作用。减水剂加入到水泥 - 水系统以后,首先吸附的是 C 3 A 。在减水剂掺量不变的条件下, C 3 A 含量高的水泥,由于 C 3 A 被吸附量大,必然使得用于分散 C 2 S 和 C 3 S 等其它组分的量显著减少,因此 C 3 A 含量高的水泥减水效果较差。
在混凝土中掺人减水剂后,一般可得到如下效果 ( 图 6) : 1 .提高流动性 在不改变混凝土配合比的情况下,加入减水剂后能明显地提高拌合物的流动性,且不影响混凝土的强度。 2 .提高强度 在混凝土中掺人减水剂后,可在混凝土坍落度基本相同的条件下,减小拌合用水量 ( 不改变水泥用量 ) ,从而降低了水灰比,使混凝土的强度得到提高。 3 .节省水泥 在混凝土坍落度基本相同的条件下,在减少拌合水量的同时,也可以减小水泥用量,使水灰比保持不变。这样,在保证流动性和强度不变的情况下,节省了水泥。 4 .改善混凝土性能 掺人减水剂后,可以减少拌合物的泌水、离析现象;延缓拌合物的凝结时间;减缓水泥水化放热速度;显著地提高混凝土的抗渗性及抗冻性,使耐久性能得到提高。

图 6 减水剂对混凝土起增强或增加坍落度的影响
六、砂石骨料对减水剂混凝土性能的影响 砂石骨料的粒径、品种和用量对减水剂混凝土的含气量、减水率和强度均有一定影响。 砂的粒径对混凝土含气量的影响较大。含气量的峰值出现在粒径 0.3 ~ 0. 6 ㎜ 的范围内,这是由于砂的表面粗糙凹凸不平,易于聚存气体。砂的粒径大于该范围时,由于表面积小,吸附空气量少,拌合物内含气量小;而粒径小于该范围时,拌合时易于凝聚成团,阻碍了气体的进入,故含气量也小。混凝土的减水率随含气量的增加而提高,含气量愈大,单位用水量减水就愈多,含气量每增加 1 %,混凝土用水量可减少 5kg /m 3 。因此,以中砂配制的混凝土减水率最佳,粗砂和细砂次之,而特细砂则减水效果最差。 石子粒径在 20 ~ 4 0 ㎜ 时,对减水率的影响不显著,石子粒径小于 2 0 ㎜ ,则含气量增大,大于 40mm 时,则含气量减小,因此,对于一般的建筑工程,石子粒径对减水率的影响不大。 石子品种对减水率有较大影响。卵石表面光滑,表面积小,而碎石表面粗糙多棱角,表面积大,在要求相同坍落度情况下,碎石需增加用水量和砂率,如砂率不增大,则碎石混凝土的减水率低于卵石混凝土。 砂浆在拌合物中起润滑作用,减少粗骨料之间的摩擦力,在一定的砂率范围内,砂率愈大润滑作用愈显著,但超过合适范围,由于砂子表面积增加,砂浆粘度增大,因此,一定级配的混凝土都有各自的最佳砂率。混凝土中掺人减水剂,可以说部分承担了细骨料在拌合物中的润滑作用,从而改善了混凝土的和易 性,在满足和易性条件下,即可减小用砂量,则能进一步减小混凝土的单位用水量,特别对引气型减水剂而言,砂率的减小在很大程度上能补偿由于引入空气引起的强度损失,引气型减水剂砂率可减少 2 %左右,从而得到额外的增强效果。
七、水泥的适应性 在混凝土材料中水泥对外加剂混凝土性能影响最大,以减水剂而言,不同减水剂品种对水泥的分散、减水、增强效应不同。对于同一种减水剂,由于水泥矿物组成,混合材料品种及掺量,含碱量,石膏品种及掺量的不同,其减水增强效果也很不相同。 水泥中的矿物组成中以铝酸三钙 (C 3 A ) 硅酸三钙 (C 3 S) 对水泥水化速度和强度的发挥起决定作用。减水剂加入到水泥—水系统以后,首先是被 C 3 A 吸附, C 3 A 含量高的水泥,吸附减水剂量就多,必然用于分散到 C 3 S 和硅酸二钙 (C 2 S) 及其它矿物组分中去的减水剂量显著减少,因此, C 3 A 含量高的水泥减水效果就差。 水泥熟料碱含量过高,能使水泥凝结时间缩短,早期强度及流动度降低,因此,碱含量高的水泥减水效果也差。 水泥中作调凝剂的石膏对减水效果影响很大。有的会产生速凝现象,用无水石膏或工业氟石膏作调凝剂,当在使用木质素磺酸钙或糖蜜减水剂时会出现异常凝结现象。这是由于上述石膏在木钙或糖钙溶液中,硫酸钙溶解量下降, C 3 A 很快水化,使混凝土发生速凝, C 3 A 含量愈大凝结愈快,当 C 3 A 含量大于 8 %时,混凝土就会发生速凝现象。掺木钙减水剂对混凝土的影响见图 7 ~ 12 。 其它如水泥细度大,有利于减水剂的减水增强效果,矿渣掺合料吸附性小也有利于减水。

图 7 木钙减水剂掺量与减水率的关系 图 8 掺木钙减水剂对混凝土泌水的影响

图 9 掺木钙减水剂对普通硅酸盐水泥 图 10 木钙减水剂对混凝土凝结时间的影响
混凝土水化放热曲线的影响 1 一普通硅酸盐水泥混凝土; 2 一掺木钙的硅酸盐水泥混凝土; 3 一矿渣硅酸盐水泥混凝土; 4 一掺木钙的矿渣硅酸盐水泥混凝土

图 11 木钙减水剂掺量对混凝土坍落度的影响 图 12 木钙掺量与含气量的关系 ( 相同配合比 ) 木质素磺酸盐对水泥净浆的影响见表 2 ~ 4 。
表 2 木质素磺酸盐用量对水泥净浆减水率的影响
|
减水率
阳离子 |
掺量 C × % |
|
0.15 |
0.25 |
0.5 |
|
Ca 2+
Na +
Fe 2+
Al 3+ |
32.0
34.0
32.4
31.3 |
34.1
37.9
36.2
32.9 |
34.2
40.1
41.0
34.3 |
表 3 不同阳离子木质素磺酸盐对水泥净浆强度的影晌
|
木质素磺酸盐 |
用量( % ) |
水灰比 |
抗压强度( MPa ) |
|
3d |
7d |
28d |
|
Na +
NH
Ca 2+
Cu 2+
Zn 2+
Fe 3+
Al 3+
空白 |
0.25
0.25
0.25
0.25
0.25
0.25
0.25
0.25
0 |
0.33
0.33
0.33
0.33
0.33
0.33
0.33
0.33
0.40 |
30.4
29.6
27.9
32.2
27.7
33.7
29.2
25.2
18.4 |
38.9
35.1
37.7
41.4
38.0
40.3
39.5
40.2
29.8 |
60.7
47.7
55.7
57.9
55.1
55.6
58.1
59.0
43.3 |
表 4 木质素磺酸盐掺量对水泥净浆强度的影响
|
掺量( % ) |
0.15 |
0.25 |
0.5 |
|
水灰比
抗压强度
不同阳离子 |
0.35 |
0.33 |
0.32 |
|
3d 7d 28d
(MPa) (MPa) (MPa) |
3d 7d 28d
(MPa) (MPa) (MPa) |
3d 7d 28d
(MPa) (MPa) (MPa) |
|
Na +
Ca 2+
Fe 2+
Cu 2+
Fe 3+
Al 3+ |
27.7 40.2 51.8
25.5 34.3 48.2
26.9 34.5 52.1
28.1 36.4 50.6
29.8 38.1 52.2
28.6 38.1 54.5 |
30.4 38.9 60.7
27.9 37.7 55.7
33.7 40.3 55.6
32.2 41.4 57.9
29.2 39.5 58.1
29.6 40.2 59.0 |
27.6 40.5 56.3
27.7 42.4 56.4
34.1 41.6 61.4
27.0 41.3 50.6
29.9 41.9 58.7
30.6 39.8 55.7 |
|
空白 |
18.4 29.8 43.3( 水灰比 =0.40) |
八、木质素磺酸盐的发展概况 20 世纪 30 年代初,使用亚硫酸制浆废液来改善混凝土的和易性,提高混凝土强度和耐久性,已经引起人们的重视,从 1935 — 1937 年,美国人 E . W . Seripture 研制成功以木质素磺酸盐为主要成分的减水剂——普浊里,并申请了专利。从此,人类开始了对木质素磺酸盐在混凝土中的作用的基础研究工作,探明了木质素磺酸盐的分散机理和对混凝土各种性能的影响,继而发展到今天的对高性能减水剂的开发与应用。 20 世纪 50 年代,日本引进了美国的制造技术,生产了以 Pozzlith 为代表的混凝土减水剂,并将其大规模用于水库和城市建设,极大地推动了亚硫酸制浆废液和木质素磺酸盐的开发与应用。 20 世纪 50 年代,我国也开始了对亚硫酸制浆废液的应用研究。 木质素磺酸盐的减水机理,使用的最佳掺量,对混凝土各种性能的影响,以及它存在的问题和不足,业内人士已是家喻户晓。近年来液体外加剂的逐步推广,暴露了木质素磺酸钙在与萘系高效减水剂复配使用后,产生不溶物沉淀的问题,给搅拌站带来不少麻烦,为此,我们进行市场调查与仔细的分析,经过科学的筛选,严格进行化学改性,研制了一种木质素磺酸钠型减水剂,解决了沉淀的问题。
九、木质素磺酸盐的基本理论
1 .木质素的形成与结构 木质素的英文名称 Lignin ,是由拉丁文的 Lignum 衍生而来,意思是木材。木质素是由苯基丙烷为单体组成的天然聚合物,是维管束植物的主要成分,木质素是植物世界中仅次于多糖的最丰富的有机高分子聚合物。在同一植物中,木质素的含量是恒定的,不同植物中木质素含量相差较大,例如,软木 ( 针叶树 ) 中木质素含量为 27 %~ 37 %,而硬木 ( 阔叶树 ) 中木质素含量为 16 %~ 29 %。 木质素有多种功能来维持植物的生命,木质素能降低植物运输组织中细胞壁的水分的渗透性,并且,对水分、营养物等输送起着重要作用。另外,它不但使细胞壁坚硬,而且也是木材细胞之间的粘合剂,致使树木对冲撞、压缩和弯曲有非常强大的抵抗力,由于木质素具有阻止酸坏性酶渗透到细胞壁中的性能,木质化组织能够有效地抗拒微生物的侵袭。 在木质素中,三个苯基丙烯烃单体经脱氢聚合而生成了木质素,这三个单体是: 3-(4- 羟基丙基 )-2- 丙烯 -1- 醇 ( 对,香豆醇 )I , 3-(3- 甲氧基 -4- 羟苯基 )-2- 丙烯 -1- 醇 ( 松柏醇 ) Ⅱ, 3-(3.5- 二甲氧基 -4- 羟苯基 )-2- 丙烯 -1- 醇 ( 芥子醇 ) Ⅲ。

组成大分子木质素结构的生物化学途径,第一步是将这些单体经过酶催化脱氢而生成四种中间形式的苯氧基团。

R 1 , R 2 =H , OCH 3
这些单体的不规则偶合反应导致了立体的非结晶质的聚合物,这与纤维素和蛋白质不同,木质素缺少规则的重复单元,由于木质素的结构和多相性的性质,可以说它是一个最复杂的天然聚合物。正是由于这一点,尽管已经有人提出许多代表“平均”的结构的模型,木质素的结构还没有完全确定下来,见图 13 、 14 。

图 13 云杉木质素结构示意图

图 14 水青岗木质素结构示意图
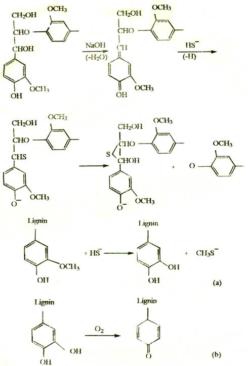
2 .木质素的化学性质 几十年来,造纸工业化学法制浆主要形成两种方式:碱法和酸法,又称硫酸盐法和亚硫酸盐制浆方法,两种方法得到的木质素,结构差别很大,性能差别也很大。
(1) 硫酸盐制浆反应 在硫酸盐制浆过程中,木质素的反应主要是亲核反应。由于制浆化学品 ( 氢氧化钠和硫化物 ) 在醌的甲基化中间体上发生亲核反应,使主键及酚羟基上的芳基甘油— β —芳基醚发生断裂,而导致醚键断裂。 由于它们具有亲核性强的特点,所以硫氢离子也会使木质素上的甲基芳醚发生断裂 ( 脱甲基化反应 ) 形成甲硫醇 (a) 和邻苯二酚结构。继而邻苯二酚又可被空气氧化生成醌,这就是造成木质素呈棕色的主要原因 (b) 。

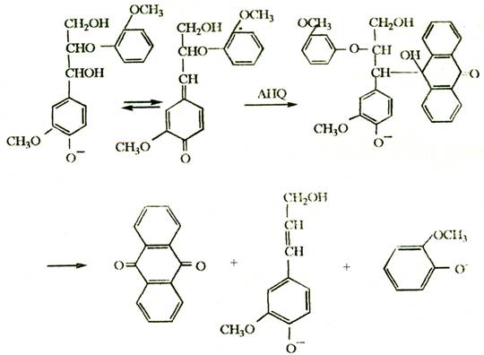
甲硫醇是造成造纸厂臭味的原因,醌构是造成木质素颜色变化的主要原因。 蒽氢醌 (AHQ) 与硫化物有着同样的催化作用,可以使木质素降解,蒽氢醌在醌的甲基化物上亲核反应导致中间加成物的生成,这些加成物再经过环芳醚键的裂解,造成共振结构和蒽醌。

一般而言,硫酸盐木质素含有 1 %~ 1 . 5 %的结合硫元素,而分子量也偏低 ( 重均分子量 MW 约在 2000 ~ 3000) ,这样方法得到的木质素,其结构可以进行许多化学反应,改变木质素的性质,适用于染料分散剂。
(2) 亚硫酸盐制浆法 在亚硫酸盐制浆条件下,木质素被磺化而可溶于水。

在某种程度上,也可以用亚硫酸盐脱去木质素上的甲基而生成邻苯二酚结构和甲烷磺酸。 根椐亚硫酸制浆蒸煮液的酸碱度 ( 即 pH 值 ) 亚硫酸盐法可分碱法、中性法、酸性法,此酸碱度对亚硫酸木质素 ( 木质素磺酸盐 ) 分子量的大小影响较大。酸性亚硫酸盐制浆法所生成的木质素磺酸盐比中性法的木质素磺酸盐分子量要高,而碱性法生产的木质素分子量最小。一般亚硫酸盐制浆厂均采用酸性法,各种制浆方法得到的木质素,分子量如图 15 所示。

图 15 不同工艺所得木质素分子量不同
(3) 变黄反应 ( 氧化反应 ) 在碱或空气氧存在下或暴露在日光下,木质素会发生变色作用,而使纸或木材变黄。木质素的这种光化学变色是由于木质素的 2- 羰基吸收了紫外线而引起的,木质素结构的激发态吸收光而形成苯氧基,它与空气中的氧反应生成醌型发色基团。

(4) 生物反应 木质素的微生物和酶降解是一个复杂的生物化学过程。因被白腐菌分解,木质素的化学变化降低了它的羟基、氢和甲氧基含量,但增加了羧基、羰基和氧的含量。
(5) 漂白反应 在制浆的木质素漂白过程中,漂白化学品 ( 氯气,次氯酸,二氧化氯,臭氧和过氧醋酸 ) ,促进木质素结构上发生亲核反应,继而发生亲核加成和取代反应,二氧化氯反应就是个典型的例子,引发亲核反应发生在木质素酚羟基团活泼的邻位和对位。

R 为木质素
在碱性介质中,氧和过氧化氢对木质素的氧化作用是纸浆无污染漂白方法的基础。比较两种氧化物的作用,分子氧可以形成发色团结构,同时有木质素降解现象。相反,过氧化氢完全可以破坏这种发色团,这是过氧化氢作为高产纸浆漂白剂而广泛用于造纸工业的原因。
3 .工业商品木质素 目前,在市场上销售的木质素衍生物有两种,即木质素磺酸盐和硫酸盐木质素,两种木质素的区别列于表 5 、表 6 。
表 5 硫酸盐木质素与木质素磺酸盐性能比较
|
性能 |
硫酸盐木质素 |
木质素磺酸盐 |
|
分子量 |
2000 ~ 3000 |
20000 ~ 50000 |
|
多分散性( MN/MN ) |
2 ~ 3 |
6 ~ 8 |
|
磺酸基( Meg/g ) |
0 |
1.25 ~ 2.5 |
|
有机硫( % ) |
1 ~ 1.5 |
4 ~ 8 |
|
溶解度 |
不溶于水,可溶于碱性物质( pH > 10.5 )丙酮、二甲基酰胺等溶剂 |
可溶于各种 pH 的水溶液中,不溶于有机溶剂 |
|
色泽 |
深褐色 |
浅褐色 |
|
官能团 |
酚式羟基、羟基和儿茶酚基团较多,有些不饱和侧链 |
酚式羟基、羟基和儿茶酚基团较少,不饱和侧链也很少 |
表 6 硫酸盐木质素与木质素磺酸盐主要化学性能比较
|
性能 |
硫酸盐木质素 |
木质素磺酸盐 |
|
基础组成( % ) |
C 66 H 58 S 1.6 |
C 53 H 4.5 S 6.5 |
|
杂质 |
无 |
碳水化合物降解产品 |
|
官能团 |
|
|
|
酚羟基 phenolie - oh (%) |
4.0 |
1.9 |
|
脂肪羟基 Aliphalie - oh (%) |
9.5 |
7.5 |
|
硫酸盐 SOH(%) |
|
16 |
|
硫醇基 SH(%) |
3.3 |
|
|
甲氧基 OCH 3 (%) |
14.0 |
12.5 |
|
溶解性 |
碱 |
水 |
|
主要连接链 |
C-C 键 聚苯乙烯型 侧链和芳环 二烷基 |
芳基-烷基 醚 (-3- O -4) |
硫酸盐木质素可溶于碱性水溶液 (pH > 10.5) 二烷、丙酮、二甲基甲酰胺等。通常需要用亚硫酸盐和甲醛作用使其磺甲基化,而成为水溶性产物,图 16 为甲基磺化硫酸盐木质素的模型结构式。

图 16 甲基磺化硫酸盐木质素的模型结构式
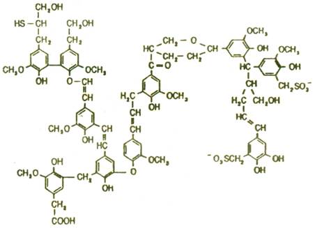
硫酸盐木质素,可根据磺化度的不同,磺化位置的不同,得到各种牌号的产品,适用于不同的应用领域。 木质素磺酸盐是亚硫酸盐法制浆中的副产品,它的结构和分子多分散性是极不均一的。 木质素磺酸盐可溶于各种不同 pH 值的水溶液中,不溶于有机溶剂,图 17 为针叶树木质素磺酸盐的模型结构式。木质素磺酸盐可以通过各种方法进行改性而得到不同性能、不同用途的产品。

图 17 针叶树木质素磺酸盐的模型结构式
十、木质素磺酸钙减水剂的现状
1 .木质素磺酸钙原材料的变化 木质素磺酸钙在我国使用已经 30 多年了, 30 年来,由于森林的过量砍伐,资源的枯竭,木质素磺酸钙的原材料来源发生了较大的变化。最初,我国的木质素磺酸钙,有松木木质素磺酸钙和杨木木质素磺酸钙,现在已不存在了,目前的木质素磺酸钙都是由松木和杨木以及桦木的混合物,并用制浆造纸用的树木的树龄也由最初的 20 ~ 30 年的变成了 10 年以上,甚至几年以上,树木的直径有 lm 以上,也有 10cm 以上的,如前边所述,在同一植物中各部位的不同,如树叶、树枝、树干和树根,其含量不同,组成有较大差别,不同树龄的木质素构成是不同的,加上不同的生产降糖工艺,所以目前的木质素磺酸钙已经不是 10 年前的木质素磺酸钙。
2 .降糖工艺与产品质量 亚硫酸制浆液中含有 17 %~ 18 %的还原糖,有五碳糖和六碳糖,减水剂的标准要求糖含量要小于 12 %,所以必须把还原糖指标降至 12 %以下。
(1) 发醇降糖,提取酒精 废液中的六碳糖,在酶的作用下,经发醇降糖转变成乙醇,然后分离出去,剩下的废液还原糖含量小于 12 %,经干燥得木质素磺酸钙。
(2) 氢氧化钙降糖 废液中加入氢氧化钙溶液,经反应、保温,使糖降至 12 %以下,然后过滤除掉钙盐沉淀物,液体经干燥得木质素磺酸钙。
(3) 氢氧化钠降糖 废液中加入氢氧化钠溶液,经反应、保温,糖降至 12 %以下,经喷干得木质素磺酸钙。
(4) 空气氧化降糖 废液中通人空气进行氧化,根据糖的含量调整进气量和反应时间,直至糖含量小于 12 %,产品经喷雾干燥,得木质素磺酸钙。
(5) 亚硫酸盐降糖 废液中加入亚硫酸盐,加压,高温下反应数小时,得还原糖小于 12 %的液体,喷雾干燥后得木质素磺酸钙。 以上方法中,前三种均在采用,第四种方法,石岘造纸厂在中试阶段。发酵制酒精的木质素磺酸钙质量较好,含量相对提高。氢氧化钙降糖除钙过程困难,但产品质量较好,含量相对不变,氢氧化钠降糖引人大量氢氧根离子 (OH) — ,会对混凝土有负面影响,并由于 10 %左右氢氧化钠的加人,含量相对降低,性能较差。
3 .氢氧化钠降糖的危害 有资料表明,木质素磺酸盐不会引起碱—骨料反应,而且对混凝土耐久性有所提高。但是,如果木质素磺酸盐中带人氢氧根离子,会对混凝土造成极大的威胁。有资料介绍,为了评价高强混凝土的碱—骨料反应性能,在使用反应性料和非反应性粒,单位水泥用量为 650kg /m 3 、水灰比为 0.26 和 0.36 的高强混凝土中掺入 NaOH ,并调整含碱量,同样地,使用上述两种骨料,单位水泥用量为 350kg /m 3 、水灰比为 0.56 的一般混凝土中掺入 NaOH 并调整含碱量,然后根据 TCI 的混凝土棒法,测定了这种混凝土的膨胀率。结果如图 18 所示,碱—骨料引起的膨胀不仅取决于混凝土的抗压强度,而且取决于混凝土含碱量,并且,混凝土的高强化也不能抑制碱—骨料反应引起的膨胀。 这个结果充分说明,氢氧化钠的破坏作用,最重要的是氢氧根离子 OH 的破坏作用;氧化钠和氧化钾的危害性,因为它们与水反应的产物均为氢氧化物。 氢氧化钠降糖是氢氧化钠与五碳糖或六碳糖反应,糖的醛基反应变成羟基,反应式如下:

时间 ( 月 )
(1) 单位水泥用量为 350kg /m 3 的混凝土

时间 ( 月 )
(2) 单位水泥用量为 650kg /m 3 掺加外加剂的混凝土
图 18 高强混凝土与普通强度混凝土因碱骨料反应而引起的膨胀性的比较

实际生产中,在除去亚硫酸制浆废液中 18 %左右的糖类时,每吨木质素磺酸钙必须加入 13.5 %以上的氢氧化钠,也就是说,每吨木质素磺酸钙加入 135kg 氢氧化钠。这么大量氢氧根离子都存在于木质素磺酸钙中,必然会给混凝土带来一定的危害。 采用氢氧化钠降糖的另一种危险是,液体氢氧化钠中带入的氯离子,据资料介绍,我国生产氢氧化钠有三种方法:水银法、隔膜法、离子交换膜法,其中隔膜法的产量占 90 %,隔膜法的液体氢氧化钠中最多可含有 5 %的氯化钠。氯离子会破坏钢筋表面的钝化膜和促进钢筋锈蚀,在混凝土钢筋的表面存在着阳极区和阴极区形成的微电池。
阳极过程:电子迅速跑向阴极,同时金属产生离子化过程,即:
Fe+nH 2 O→Fe 2+ ·nH 2 O+2 e —
阴极过程:氧被极化,透过混凝土保护膜而到达钢筋表面,并生成氢氧根离子,即:
O 2 +2H 2 O 十 4 e — → 4(OH ) —
阳极过程生成的 Fe 2+ 和阴极过程生成的 (OH) — 在电介质溶液中不断扩散相遇在钢筋表面上生成 Fe(OH) 2 若再继续氧化,则转化成疏松状态的铁锈,由于体积膨胀产生压力,导致混凝土产生裂纹,这种循环作用招致钢筋混凝土中钢筋严重锈蚀。 无独有偶,前面所述,氢氧化钠使混凝土产生膨胀,钢筋锈蚀过程也与氢氧根离子有关,从而可以看出氢氧化钠降糖的的严重危害。
4 .改性的研究 木质素磺酸钙的价格便宜,原材料丰富,被广泛使用,但是它性能不尽人意,曾经有人对它进行改性,以下是国内已经改性成功并大量生产和应用的工艺与品种:
(1) 对木质素磺酸盐进行化学分级,将其大分子部分分离出来,进行化学改性,得到木质素磺酸钠分散剂 M - 9 。
(2) 对木质素磺酸盐通过超滤进行分子量分级,大分子部分进行改性,得到木质素分散剂 CMN 。
(3) 对木质素磺酸盐通过加压聚合的方法,将分子量增大,得到木质素磺酸盐分散剂 M - 15 。
(4) 木质素磺酸盐,经过再磺化、氧化等工艺,与微量金属元素螯合,得木质素磺酸螯合肥“碧乐宝”。
(5) 木质素磺酸盐可用碱性物质氧化反应制得木质素磺酸钠 S — 50 。
目前为止改性后,用做混凝土减水剂的品种,而且真正工业化的还是寥寥无几。
十一、木质素磺酸钠减水剂的开发 木质素磺酸盐的改性大有可为,但是由于分子结构等原因,期望不能过高。我们建议,针对木质素磺酸盐在混凝土上应用的某一种或某一些问题来改性,使之在实际中得到应用。为此,针对木质素磺酸钙与萘系高效减水剂复配制成液体外加剂时产生沉淀的问题,开发了不产生沉淀的木质素磺酸钠产品,同时提高了减水率和净浆流动度,并保持了木钙的一些性能,产品在国内许多工程上得到应用。
1 .分子量的比较 木质素磺酸盐是一种天然的高分子聚合物,它的分子量分布很不均匀,不同丁艺得到的木质素磺酸盐分子量差别很大。由资料可知,不同分子量的木质素磺酸盐对混凝土的性能影响较大:大分子有缓凝作用,并强度降低;小分子引气过多,也不宜应用;中等分子量的木质素磺酸盐备受关注。 目前,很难拿到木质素磺酸盐的纯品,所以测定木质素磺酸盐分子量很难,选取不同的参照物 ( 如聚苯乙烯磺酸 ) ,又因测定方法不同而出现差异。中等分子量很难确定准确范围,对实际缺乏指导意义。 采取葡聚糖凝胶色谱 (GPC) ,测定木质素磺酸盐的分子量分布,比较改性后不同木质素磺酸盐的分子量分布的变化,得到了不同木质素磺酸盐的分子量分布曲线,见图 19 ,曲线 1 由亚硫酸废液经化学分级后得到的大分子量的木质素磺酸钠盐,作为染料分散剂;曲线 2 是亚硫酸废液,经加压聚合的木质素磺酸钠盐;曲线 3 是改性的木质素磺酸钠;曲线 4 是木质素磺酸钙。曲线 3 、 4 说明,改性的木质素磺酸钠与木质素磺酸钙的分子量相近,略有提高。

洗脱体积 (mL)
1 — M-9 ; 2 —改性木钠; 3-S-50 ; 4 —木钙
图 19 各种木质素磺酸盐的 GPC 色谱 ;
2 .技术指标比较 木钙与木钠的技术指标比较见表 8 。
表 8 木钙与木钠的技术指标比较
|
名称 |
木钙 |
木钠 |
|
pH 值 |
4 ~ 6 |
7 ~ 9 |
|
还原物含量( % ) |
≤ 12 |
≤ 4.0 |
|
钙镁含量( % ) |
6 ~ 7 |
≤ 1.0 |
|
无机盐含量( % ) |
— |
≤ 3.0 |
3 .液体外加剂沉淀问题的解决 (1) 沉淀原因分析 1) 可避免沉淀 ①用低浓高效减水剂中的硫酸钠配制液体外加剂时,由于温度低而析出沉淀。 ②高浓高效减水剂在生产中用氢氧化钙中和过量硫酸,产生硫酸钙,由于过滤不净,配制液体外加剂时产生沉淀。 ③木质素磺酸钙的生产中,用于脱糖的氢氧化钙,由于过滤的不彻底,在配制液体外加剂时产生沉淀。
2) 不可避免的沉淀 优质的高浓高效减水剂和优质木质素磺酸钙先后溶于水进行复配制成液体外加剂,而产生的沉淀。
(2) 沉淀产生过程 可避免沉淀,可以通过控制原料质量来解决。不可避免沉淀产生过程:在一个水溶液中,先溶解高效减水剂,高效减水剂中的萘磺酸钠和硫酸钠,分别解离成萘磺酸离子- S O — ,硫酸根离子 SO = ,钠离子 Na + 。同一溶液中,再溶解木质素磺酸钙,也解离成木质素磺酸离子 Lignin - S O — 和钙离子 Ca ++ ,同处一个体系的物质,根据化学动力学,进行化学反应,最后达到新的平衡,其结果,溶液中存在萘磺酸缩合物的钠盐、木质素磺酸钠、木质素磺酸钙、硫酸钠和沉淀物硫酸钙,由于硫酸钙的解度很小, 100g 20 ℃ 水中仅溶解0 . 2 %左右,所以必然沉淀出来,反应式如下:
2Lignin - SO 3 Ca 十 Na 2 SO 4 → 2Ligni n — SO 3 Na + C aSO 4 ↓
将萘系高效减水剂 ( 低浓 ) 分别与木质素磺酸钙和木质素磺酸钠进行复配,它们的比例为高效:木钙 ( 木钠 )=1 : 1 , 1 : 2 , 1 : 3 。复配后的产品用蒸馏水完全溶解,放置一段时间,在称重的滤纸上过滤,过滤物与滤纸一起烘干,并称重,测定残渣重量,其结果如表 9 和图 20 所示。
表 9 复配后产生的过滤残查
|
名称 |
1 : 1 |
1 : 2 |
1 : 3 |
|
高效 : 木钙 (g) |
0.124 |
0.22 |
0.34 |
|
高效 : 木钠 (g) |
0.0427 |
0.0474 |
0.048 |
上述试验数据充分说明,高效减水剂与木质素磺酸钙复配,会产生新的沉淀。
(3) 不可避免沉淀的避免 从表 9 和图 20 中可以发现,高效减水剂与木质素磺酸钙复配溶解后不可避免的产生沉淀,而高效减水剂与木质素磺酸钠复配,可以避免沉淀,这就找到了一条解决复配液体外加剂不产生沉淀的途径。
十二、木质素磺酸钠减水剂的应用性能
1 .对水泥的适应性 我国地域广阔,南北方地质条件复杂,各地的水泥组成不同,所以木质素磺酸钠的适应性极为重要。从使用情况看,广州、上海、北京的水泥使用木质素磺酸钠,都取得满意的结果。
2 .含气量 混凝土中掺入木质素磺酸钠、木质素磺酸钙减水剂和高效减水剂 ( 萘系 ) ,进行含气量试验,结果见表 10 和图 21 。
表 10 混凝土含气量比较 ( % )
|
掺量 |
木钠 |
木钙 |
高效减水剂 |
|
0.25 |
1.7 |
2.6 |
0.9 |
|
0.50 |
2.4 |
2.8 |
1.7 |
|
1.0 |
2.7 |
3.1 |
2.3 |
|
1.5 |
3.2 |
3.5 |
2.9 |

图 20 不同比例复配后残渣

图 21 各种外加剂不同掺量的混凝土含气量
从试验结果看,木钠的含气量次于高效减水剂,好于木钙。
3 .抗压强度 把木质素磺酸钠与木质素磺酸钙进行比较,结果列于表 11 。从表 11 上数据可以得到图 22 ,从图上分析木钠的推荐掺量为 0.25 %~ 0.5 %,最佳掺量应由使用单位根据原料情况,经试验确定。
表 11 掺木钠、木钙混凝土抗压强度
|
序号 |
外加剂 |
掺量( % ) |
坍落度
(㎜) |
用水量( mL ) |
减水率( % ) |
抗压强度 |
|
1d |
3d |
7d |
28d |
|
1 |
空白 |
|
80 |
2135 |
|
20/100 |
101.6/100 |
194.2/100 |
298.7/100 |
|
2 |
木钠 |
0.25 |
78 |
1850 |
14.05 |
13.3/66 |
94.2/93 |
215/111 |
325/108 |
|
3 |
木钠 |
0.5 |
78 |
1620 |
24.12 |
2.5/12 |
97.5/96 |
204.6/104 |
312/104 |
|
4 |
木钠 |
1.0 |
79 |
1575 |
26.2 |
2.5/12 |
40.8/46 |
142/74 |
231/77 |
|
5 |
木钠 |
1.5 |
80 |
1530 |
28.3 |
10/50 |
47.5/47 |
— |
— |
|
6 |
木钙 |
0.25 |
80 |
1885 |
11.7 |
6.6/33 |
84.2/83 |
182/94 |
283/95 |
水泥:牡丹江强度等级 42.5 ,砂:中砂,石子:卵石,配合比: 1 : 2 : 3.1 : 3.77 ,水泥用量: 310( ㎏ /m 3 ) 。

图 22 不同掺量的混凝土抗压强度
4 .木钠、木钙与高效减水剂复配的效果 把木质素磺酸钠与木质素磺酸钙,同高效减水剂复配后进行比较,分别做了净浆流动度和砂浆减水率试验。
(1) 净浆流动度试验 水泥强度等级 42.5 ;掺水量 105mL ;复配比例: 1:1 。水泥净浆流动度试验结果见表 12 和图 23 。
表 12 水泥净浆流动度试验结果 (mm)
|
样品 (%) |
木钠 |
木钙 |
高效减水剂 |
木钠 + 高效减水剂 |
木钙 + 高效减水剂 |
|
0.25 |
140 |
135 |
169 |
145 |
145 |
|
0.5 |
200 |
195 |
215 |
215 |
200 |
|
1.0 |
231 |
206 |
238 |
285 |
265 |
|
1.5 |
240 |
210 |
250 |
287 |
270 |

图 23 各种外加剂不同的掺量水泥净浆流动度
( 2 )砂浆减水率试验 砂浆减水率试验结果见表 13 和图 24 。
表 13 砂浆减水率试验结果( % )
|
样品 (%) |
木钠 |
木钙 |
木钙 + 高效减水剂 |
木钠 + 高效减水剂 |
|
0.25 |
13.5 |
12.3 |
10.2 |
11.22 |
|
0.5 |
16.23 |
14.13 |
13.26 |
20.4 |
|
1.0 |
18.7 |
16.7 |
26.5 |
28.57 |
|
1.5 |
24 |
20 |
28.57 |
32.65 |

图 24 各种外加剂不同掺量砂浆减水率
从上述两个试验可以看出,复配后的结果均比单一品种效果好,木钠复配后效果明显好于木钙。
5 .钠离子浓度与碱 - 骨料反应 混凝土的碱—骨料反应,一直受到人们的关注。为避免碱 - 骨料反应,各国对水泥、骨料、外加剂的碱活性物质含量都做出严格的限制,外加剂中的钠离子也备受重视。木质素磺酸钠中的钠离子会对混凝土产生什么影响,进行了如下分析:
(1) 通过火焰光度法,测定木质素磺酸钠中的钠和氧的含量,相当于氧化钠含量 9.8 %。这个数字听起来很惊人,但仔细分析,萘系高效减水剂 UNF 氧化钠含量也在 10 %左右,并且高效减水剂的混凝土中掺量为水泥的 0.5 %~ 0.75 %,有时高达 1.0 %,这个掺量是木质素磺酸钠的 1 倍到数倍。
(2) 就木质素磺酸钠的氧化钠含量而言,掺人混凝土中也是可以忽略不计的,例如 400kg /m 3 水泥的混凝土,木质素磺酸钠的掺量为 1.0kg 。其中含氧化钠为 98g ,所以不必担心。
(3) 木质素磺酸钠和高效减水剂中测定的氧化钠含量,应加上所谓的“氧化钠”含量,因为从上述两种产品中测得的所谓“氧化钠”含量实际是两种产品中的钠离子含量和氧离子含量的简单加合,与氧化钠 ( 包括氧化钾 ) 是有本质的区别。举例:氧化钠 ( 氢氧化钾 ) 与水反应,生成氢氧化钠或氢氧化钾并放出热量,其方程如下:
K 2 O + H 2 O → 2KOH (a)
Na 2 O+H 2 O → 2NaOH (b)
氧化钠和氢氧化钾解离成钠离子和氢氧根离子 OH — ,它们会使混凝土产生膨胀而破坏,而木质素磺酸钠和萘系高效减水剂中的钠离子,在溶于水时,是以离子状态,分散和在水中不会发生放热反应和并没有产生新的氢氧根离子,所以也不会对混凝土造成危害。 通过上述分析认为,木质素磺酸钠不能引起碱 - 骨料反应。
6 .木质素磺酸钠的应用情况 木质素磺酸钠已开发多年,一直在推广应用中。 通过不断的实践,木质素磺酸钠的优势越来越显示出来:配制液体外加剂没有沉淀;复配的外加剂性能有较大提高。
检测报告
|