|
| |||||||||||||||||||||||||||||||||||||||||||||||||||||||||||||||||||||||||||||||||||||||||||||||||||||||||||||||||||||||||||||||||||||||||||||||||||||||||||||||||||||||||||||||||||||||||||||||||||||||||||||||||||||||||||||||||||||||||||||||||||||||||||||||||||||||||||||||||||||||||||||||||||||||||||||||||||||||||||||||||||||||||||||||||||||||||||||||||||||||||||||||||||||||||||||||||||||||||||||||||||||||||||||||||||||||||||||||||||||||||||||||||||||||||||||||||||||||||||||||||||||||||||||||||||||||||||||||||||||||||||||||||||||||||||||||||||||||||||||||||||||||||||||||||||||||||||||||||||||||||||||||||||||||||||||||||||||||||||||||||||||||||||||||||||||||||||||||||||||||||||||||||||||||||||||||||||||
|
UNF-5 型萘系减水剂用于以下 10 类混凝土中: 2 、干硬性混凝土 stiff concrete 3 、塑性混凝土 plastic concrete 4 、流动性混凝土 pasty concrete 5 、大流动性混凝土 flowing concrete 6 、抗渗混凝土 impermeable concrete 7 、抗冻混凝土 frost-resistant concrete 8 、高强混凝土 high-strength concrete 9 、泵送混凝土 pumped concrete 10 、大体积混凝土 mass concrete
根据使用时混凝土不同强度等级及应用范围不同,常规掺量范围为0.3~0.8%。如配制高强,超高强混凝土可在掺量范围为 0.8~1.8%内选择。最佳掺量0.75%。液体按含固量折算。 2 、配制早强砂浆 3 、蒸养混凝土 4 、大模板施工用混凝土 5 、泵送剂混凝土 6 、高强混凝土 九、应用注意事项
UNF-5 SERIES HIGH-STRENGTH & HIGH-EFFICIENCY SUPERPLASTICISER APPLICATION PROPERTIES, FEATURES & CHARACTERISTICS PARAMETERS & ACCEPTANCE CRITERLA
PARAMETERS & ACCEPTANCE CRITERIA ( FOR REFERENCE )
Blend Dosage-Water Reduction Graph The blend dosage normally ranges from 2 %to 1.0% for variations of concrete grades and application fields. The optimal blend dosage for powder is 0.5%. DIRECTIONS RACKGING, TRANSPORTATION AND STORAGE
化学组成:萘磺酸甲醛缩合物 -Chemical composition : β -naphthalene sulfonate
1 、商品混凝土
2 、混凝土与水泥制品
3 、工业与民用建筑
4 、水利水电工程
5 、铁道建筑
6
Naphthalene Series Water-Reducing Agent A qualitative examination was made employing infrared spectros-copy, x-ray diffraction method, and differential thermal analysis (DTA), and the amount of hydration water was measured. The hy-dration process of Portland cement was found to be divided into three stages, and the reaction kinetic equations were derived. The main factors affecting each stage of the hydration process were stud-ied.
Fig .1shows that from the process whter C-S-H crest surpasses monosulfate crest it follows that for the first 3 days, the hydration rate of cement with admix-tures was slightly higher than that of cement , which reverals that the early hydration rate of cement in creases slightly. Seven days later C-S-H crest of cement markedly surpasses monosulfate crest, indicating that in the middle and final stage of hydration, admixtures retard the hydration rate of cement.
Fig. 1-Infrared spectrograms of hydrated Portland cement (H=hour; D=day). A-Cement, B-cement+5percent JN, and C-cement+5 percent NF
Fig. 2-X-ray diffraction patterns. A-Cement, B-cement+5 percent JN, and C-cement+5 percent NF.
Y o =1.69+0.27 1gt Y JN =1.79+0.34 1gt Y NF =2.05+0.50 1gt Differentiation of Eq. (1)with respect to time gives the instantaneous rate
It follows that the reaction rate retards with the age. After cement makes contact with water, the hydration reaction begins quickly at an initial high rate and then gradually retards. About an hour later the hydration rate reduces to a constant value. From compatison it is clear that the initial stage of cement hydration basically conforms to the formulas for dissolving and crystallizing rate. It is confirmed that the overall reaction rate is governed by the rate of difssolution of cement particles and that of hydrate crystallization . As degree of saturation of saturation of solution in creases, the reaction rate retards gradually. The hydration rate constant K of cement with admixtures is higher than that of cement, which indicates that at a given age the former has a higher hydration rate and hydration water percent than the latter. The admixtures considerably enhance the dispersion of cement particles and increase the contact surface with water (see Fig. 4), hus greatly accelerating solid-liquid reaction rater. It is because with the increasing surface area of a substance its saturated vapor pressure, solubility, and chemical activity increase. The salt effect of admixtures also increases the ionic strength of the solution as a whole, and reduces the activity coefficient of crystallized ions. The sulfonic group contained in the admixtures' molecules has a certain complexing ability and forms a complex with some metal ions by coordination bonds, thus reducing the ionic concentration in liquid phase; hence, the solubility is increased. All of these factors speed the reaction rate of cement hydration. Summarizing, in the initial stage of cement hydration, admixtures accelerate the rate of cement hydration. In the early stage of cement hydration, admixtures retard the reaction rate In the early stage, i.e., from 40 min to the sixth hour of hydration, the relationship between hydration water percent and age can be shown as follows. Y= a+bt (2) Y o =1.51+0.17t Y JN =1.62+0.15t Y NF =1.82+0.12t The instantaneous rates are as follows V=b (3) V o =0.17 V JN =0.15 V NF =0.12 The above equations show that in this stage the hydration rate remains constant and is of zero order reaction. The special feature of this stage is that it is a transitional one; the reaction takes place on the boundary of two phases. In this stage the concentration of Ca ++ in liquid phase remains stable, and so does the concentration difference between liquid phase and the boundary. Thus the reaction rate remains constant. The addition of admixtures causes acceleration of the reaction rate in the initial stage. An increase in the amount of reaction product and a thicker film of hydration product result, and consequently the permeability rate of reactants is retarded, and admixture film will hinder the penetration of reactants. As a result, the ions in solution are restrained by the complex, and the activity of ions in liquid phase is reduced. The association of admixtures with water molecules by hydrogen bond will prevent part of the water molecules from participating in the hydration reaction. All of these factors retard the hydration rate. Summarizing, in the early stage of cement hydration, admixtures retard the hydration tate of cement. In the middle and final stage of cement hydration the admixtures retard the reaction rate slightly Six hr later the degree of hydration α and t satisfy the equation
K o =3.1 4 × 10 -4 K JN =2.73 × 10 -4 KNF =2.67 × 10 -4 The calculated value of K are basically a constant (see Table 3). This reveals that the hydration reaction is governed by the diffusion rate of reactants passing through the reaction product layer. The reaction proceeds in accord with the rule of solid phase reaction. With adition of admixtures the water in cement stone micropores is changed into a solution with certain concentration of admixtures, which brings about osmotic pressure across the product layer. The direction of osmotic pressure is opposite to that of diffusion. Admixtures' film also hinders the permeability of water. All of these factors retard the hydration rate. Summarizing, in the middle and final stage of cement hydration, the admixtures slightly retard the hydration rate of cement. Table 3 –Calculated values of K
Relationship between admixtures and structure and strength of cement stone Effect of admixtures on structure of cement stone Cement stone is structurally a porous substance consisting of various particles with pores as well as water. After final set, the cement paste assumes a definite geometry. In the initial stage the imperfect microcrystal coagula, or hydrate gel, are predominant. These small size microcrstals settle in a disorderly way on the surface of cement clinker particles. As a result of further hydration, these microcrystals grow radially to form fibrous crystals with sharp, thin, and branched ends.These disordered fibrous crystals grow around the cement particles to form many pores of different sizes with entrapped residual water. which overlap among ement particles to form a continuous three-dimensional network structure. Still further hy-dration make the network structure gradually denser; hence it augments the strength of cement stone. The growing situation of cement stone is shown in SEM photos. Fig.5,6, and 7present three sets of photos for different ages. In the photo of 1-day hydration, fibrous crystals are observed for cement , while for cement with admixtures there remains basically gel. The same applies to the photos of 3-day and 7-day hydration. While degree of transition from gel to crystal increases with the age, for cement with admixtures the transition is considerably slowed down. Because the addition o admixtures may increase the solubility of the substance and accelerate the dissolving rate in early stage, here are more microcrystal coagula in metastable state as compared with cement without admixtures. During their transition to stable crystals, a layer of admixtures' film on the surface hinders the transition from microcrystal to crystal. In terms of thermodynamic stability the small particles have highe surface free energy Z due to larger surface area and hence their thermodynamic state is unstable. Microcrystal coagula may spontaneously dissolve, resettle on the surface of crystals, and cause them to grow. The adition of admixtures to cement reduces the interfacial energy on the solid-liquid boundary; consequently, less free energy change- △ Z results during the phase transition, thus reducing the trend of phade transition of coagula. Retarding crystallization is favorable to crystal growth. Introducing admixtures to cement also facors the formation of larger and more perfect crystals because of retardationof crystallizing rate. A set of SEM photos for 1-year hydration is given in Fig. 8., from which it follows that on introducing admixtures, crystals grow larger and overlap better, and the network structure becomes denser, thus increasing strength and denseness of cement stone. Effect of admixtures on pore structure and strength of cement stone Since cement stone is a heterogeneous porous material, the study of its pore structure may be conducive toof its propetties and affecting factors. It follows that with reduction of total porosity and large capillary pores in cement stone, its structure is improved and strength slgnificantly augmented. The pore structure of cement stone was investigated by a mercury penetration method employing a high pressure ( 2000 kg /cm 2 or 29,400 1b/in. 2 ) porosimeter and low pressure vacuum extraction. The apparent porosity measured by low pressure vacuum extraction is listed in Table 4. When water is reduced, the apparent porosity changes (decreases) considerably from 25.09 percent to 15.53 percent and 19.63 percent; when no water is reduced, it decreases slightly. The results measured by the mercury penetration method are shown in Table 5, from which it can be seen that the most probable pore sizes reduce by 40-68 percent. Harmless pores below 250? increase appreciably, which makes the microstructure of cement stone denser, thus facilitating the increase of strength. Summarizing, as far as pore structure is concerned, the prime objective of admixtures is to lessen the water comtent, which leads to reduction of the capillary pore size and porevolume in cement stone. While no water is reduced, dispersion and inhibition of crystallization will reduce the capillary pore size, and hence strength of cement stone is considerably augmented.
AGENT ON CEMENT HYDRATION The chemical reaction between admixtures and cement has not been found Fig. 9 shows x-ray diffraction patterns. Patterns of crests of Curves A,B, and C, are basically identical. So are ∠ ? and corresponding crest values. Admixtures do not change the crest value, and the new crests are not found. Ultraviolet spectrograms of liquid phase before and after adsorption are shown in Fig.10. It follows that spectrogram patterns of liquid phase are rather similar before and after adsorption of admixtures by cement, meaning that no new compound is formed. Crest values decrease after adsorption as a result of adsorption by cement particles. Fig. 11 presents infrared spectrograms. Patterns of crests of Curves A and B are similar, also indicating that no new substance is formed. Form the above tests it follows that no detectable chemical reaction takes place between the admixtrres and cement ingredients in the course of cement hydration, and no new phase is formed; i.e., the function of admixtrres is not due to chemical reaction. Model of admixtures' action A scheme of the model is shown in Fig. 12. Admixtures when added to the cement mix are readily adsorbed on the surface of cement particles and cause them to keep dispersed for a long time and not to coagulate, thus increasing the reaction surface of cement particles. In the initial stage , cement hydration takes place in the form of dissolution-hydration-crystallization. Surface area solubility not only affects factors such as salt effect; the formation of an unstable complex in creases the solubility and speeds the process of cement dissolution, thus increasing the amount of hydrate. In the early stage the reaction of liquid phase still predominates, the solution basically reaches saturation, and ion diffusion rate governing reaction rate approaches constant. Consequently, the addition of admixtures retards the diffusion rate and hence the hydration rate at early stage. In the middle and final stage, the hydration product arrives at a certain thickness. The diffusion rate of water molecules passing through the layer of hydration prodct becomes the main factor governing hydration reaction. Osmotic pressure of admixtures' solution hinders the diffusion of water molecules t the hydration layer; the admixtures change the pore structure of cement stone, reduce capillary pore size, increase the cohesion of water in capillary pores, and have a binding effect on water molecules. These combined with admixtures' complexing and film forming retard the hydration rate. The effect of admixtures on cement hydration rate and structure of cement stone may be summarized as follows: 1 、 Acceleration of hydration rate of cement in the initial stage. 2 、 Retardation of hydration rate in the early stage and slight retardation in the middle and final stage. 3 、 Retardation of transition of cement hydrates from gel to crystals. 4 、 Improvement of the pore distribution of cement stone. 5 、 Reduction of capillary pore size. 6 、 Augmentation of strength of cement stone. ACKNOWLEDGMENTS The authors are indebted to V.M. Malhotra, head, of Construction Materials section, Mineral Sciences Laboratories, Canada Center for Mineral and Energy Technology, who went over the manuscript and gave valuable advice. They wish to thank Comrade Huang Daneng, Director, Research Institute of Building Materials, Ministry of Building Materials, for check and approval of the manuscript. Finally, acknowledgment is due also to the organizations who assisted in performing the tests concerned.
[ 应用实例 1] 高效减水剂在管桩生产中的应用 进入新世纪,随着建筑科学的进步,高强高性能混凝土及绿色环保混凝土已代表了混凝土技术新的发展方向,这就急需开发与之相匹配的高性能外加剂和高效减水剂。预应力混凝土管桩作为高强高性能混凝土中的一种,预计在今后 20 年仍会保持领先地位。用于管桩生产中配制高强混凝土的减水剂品种很多,一般脂肪族类和磺酸盐类中的萘系较为常见。而目前我公司使用的 C 新型改性高效减水剂,使用效果良好,已取得相当的技术效果和经济效益。下面就我公司对其常规试验、试配试验、试生产情况、生产过程控制及出厂检验等方面加以介绍。 1 、新型改性高效减水剂的物理、化学性能 1.2 试验室中三种减水剂的物理性能比较 表 1 各减水剂流动度、减水率对比
从表 2 可以看出, C 试样的流动度经时损失较小。这对管桩制作来说是有利的。坍落度损失大的混凝土,人工浇注料时较为困难。同时,由于管桩用混凝土属于半干硬性混凝土,用水量小,制作管桩自配料开始到离心结束,需要一定时间,而其中某环节出现问题,或前后工序脱节,所需时间将更长。如果坍落度损失大,较容易引起料干,导致麻面、空洞蜂窝等废次品,这在春夏季更为突出。 表 2 各减水剂经时流动度损失比较
1.3 试配结果对比 表 3 各减水剂试配情况
2 、试生产阶段 2.1 新拌混凝土的和易性 2.2 可操作性 2.3 离心效果 2.4 混凝土蒸养、蒸压强度对比 表 4 不同时期抗压强度对比
2.5 管桩产品芯样强度情况对比 表 5 不同时期芯样强度对比
表 6 不同时期管桩抗弯性能对比
3 、产品性能检测情况 4 、经济成本分析 表 7 三种减水剂成本比较
从表 7 可以看出,新型改性高效减水剂 C 与 B 型相比较,成本相当,但性能优于 B 型;与 A 型相比较,性能相当,但成本较低。从而具有较强的市场竞争力和推广应用价值。 5 、注意事项 6 、结语
| |||||||||||||||||||||||||||||||||||||||||||||||||||||||||||||||||||||||||||||||||||||||||||||||||||||||||||||||||||||||||||||||||||||||||||||||||||||||||||||||||||||||||||||||||||||||||||||||||||||||||||||||||||||||||||||||||||||||||||||||||||||||||||||||||||||||||||||||||||||||||||||||||||||||||||||||||||||||||||||||||||||||||||||||||||||||||||||||||||||||||||||||||||||||||||||||||||||||||||||||||||||||||||||||||||||||||||||||||||||||||||||||||||||||||||||||||||||||||||||||||||||||||||||||||||||||||||||||||||||||||||||||||||||||||||||||||||||||||||||||||||||||||||||||||||||||||||||||||||||||||||||||||||||||||||||||||||||||||||||||||||||||||||||||||||||||||||||||||||||||||||||||||||||||||||||||||||||
|
根据水泥水化放热曲线表示的水泥水化过程 |
![]() |
![]() 外加剂对水泥水化的影响示意 |
![]() 强度随龄期增长图 |
![]() 萘系减水剂对水泥及硅灰的吸附 1 —普通硅酸盐水泥( W/C=0.35 ); 2 —水泥 - 硅灰; 3 —硅灰( SF/W=0.5,pH=13 ) |
![]() 水泥对萘系减水剂的吸附量与吸附平衡浓度的关系 |
![]() ζ电位与吸附平衡浓度的关系 |
![]() 单体萘及其磺化位置示意 |
GB/T 8075—2005
1 、混凝土外加剂定义、分类、命名与术语
1 范围
本标准规定了水泥混凝土外加剂的定义、分类、命名与术语。水泥净浆和砂浆用外加剂也可参与本标准采用。
2 定义
混凝土外加剂是一种在混凝土搅拌之前或拌制过程中加入的、用以改善新拌混凝土和(或)硬化混凝土性能的材料。以下简称外加剂。
3 分类
混凝土外加剂按其主要使用功能分为四类:
3.1 改善混凝土拌合物流变性能的外加剂,包括各种减水剂和泵送剂等;
3.2 调节混凝土凝结时间、硬化性能的外加剂,包括缓凝剂、促凝剂和速凝剂等;
3.3 改善混凝土耐久性的外加剂,包括引气剂、防水剂、阻锈剂和矿物外加剂等;
3.4 改善混凝土其他性能的外加剂,包括膨胀剂、防冻剂、着色剂等。
4 命名
4.1 普通减水剂 water reducing admixture
在混凝土坍落度基本相同的条件下,能减少拌合用水量的外加剂。
4.2 早强剂 hardening accelerating admixture
加速混凝土早期强度发展的外加剂。
4.3 缓凝剂 set retarder
延长混凝土凝结时间的外加剂。
4.4 促凝剂 set accelerating admixture
能缩短拌合物凝结时间的外加剂。
4.5 引气剂 air entraining admixture
在混凝土搅拌过程中能引入大量均匀分布、稳定而封闭的微小气泡且能保留在硬化混凝土中的外加剂。
4.6 高效减水剂 superplasticizer
在混凝土坍落度基本相同的条件下,能大幅度减少拌合用水量的外加剂。
4.7 缓凝高效减水剂 set retarding superplasticizer
兼有缓凝功能和高效减水功能的外加剂。
4.8 早强减水剂 hardening accelerating and water reducing admixture
兼有早强和减水功能的外加剂。
4.9 缓凝减水剂 set retarding and water reducing admixture
兼有缓凝和减水功能的外加剂。
4.10 引气减水剂 air entraining and water reducing admixture
兼有引气和减水功能的外加剂。
4.11 防水剂 water-repellent admixture
能提高水泥砂浆、混凝土抗渗性能的外加剂。
4.12 阻锈剂 anti-corrosion admixture
能抑制或减轻混凝土中钢筋和其他金属预埋件锈蚀的外加剂。
4.13 加气剂 gas forming admixture
混凝土制备过程中因发生化学反应,放出气体,使硬化混凝土中有大量均匀分布气孔的外加剂。
4.14 膨胀剂 expanding admixture
在混凝土硬化过程中因化学作用能使混凝土产生一定体积膨胀的外加剂。
4.15 防冻剂 anti-freezing admixture
能使混凝土在负温下硬化,并在规定养护条件下达到预期性能超群的外加剂。
4.16 着色剂 coloring admixture
能制备具有彩色混凝土的外加剂。
4.17 速凝剂 flash setting admixture
能使混凝土迅速凝结硬化的外加剂。
4.18 泵送剂 pumping aid
能改善混凝土拌合物泵送性能的外加剂。
4.19 保水剂 water retaining admixture
能减少混凝土或砂浆失水的外加剂。
4.20 絮凝剂 flocculating agent
在水中施工时,能增加混凝土粘稠性,抗水泥和集料分离的外加剂。
4.21 增稠剂 viscosity enhancing agent
能提高混凝土拌合物粘度的外加剂。
4.22 减缩剂 shrinkage reducing agent
减少混凝土收缩的外加剂。
4.23 保塑剂 plastic retaining agent
在一定时间内,减少混凝土坍落度损失的外加剂。
4.24 磨细矿渣 grounded furnace slag
粒状高炉矿渣经干燥、粉磨等工艺达到规定细度的产品。
4.25 硅灰 silica fume
在冶炼硅铁合金或工业硅时,通过烟道排出的硅蒸气氧化后,经收尘器收集得到的以无定形二氧化硅为主要成分的产品。
4.26 磨细粉煤灰 grounded fly ash
干燥的粉煤灰经粉磨达到规定细度的产品。
4.27 磨细天然沸石 grounded natural zeolite
以一定品位纯度的天然沸石为原料,经粉磨至规定细度的产品。
5 术语
5.1 基本术语
5.1.1 外加剂掺量 dosage of admixture
外加剂掺量以外加剂占水泥 ( 或者总胶凝材料 ) 质量的百分数表示。
5.1.2 推荐掺量范围 recommended range of dosage
由外加剂生产企业根据试验结果确定的、推荐给使用方的外加剂掺量范围。
5.1.3 适宜掺量 compliance dosage
满足相应的外加剂标准要求时的外加剂掺量,由外加剂生产企业说明,适宜掺量应在推荐掺量的范围之内。
5.1.4 最大推荐掺量 maximum recommended dosage
推荐掺量范围的上限。
5.1.5 多功能外加剂 multifunction admixture
能改善新拌和硬化混凝土两种或两种以上性能的外加剂。
5.1.6 主要功能 primary function
多功能外加剂功能中起主导作用的一种功能。
5.1.7 次要功能 secondary function
多功能外加剂除主要功能外的功能。
5.1.8 标准型外加剂 standard-type admixture
具有不改变混凝土凝结时间和早期硬化速度功能的外加剂。
5.1.9 缓凝型外加剂 set retarding-type admixture
具有延缓混凝土凝结时间功能的外加剂。
5.1.10 促凝型外加剂 set accelerating-type admixture
具有促进混凝土凝结功能的外加剂。
5.1.11 基准水泥 reference cement
专门用于检测混凝土外加剂性能的水泥。
5.1.12 基准混凝土 reference concrete
符合相关标准实验条件规定的、未掺有外加剂的混凝土。
5.1.13 受检混凝土 tested concrete
符合相关标准实验条件规定的、掺有外加剂的混凝土。
5.1.14 受检标养混凝土 tested concrete cured in standard condition
按照相关标准规定条件配制的掺加有防冻剂的标准养护混凝土。
5.1.15 受检负温混凝土 tested concrete curing at negative temperature
按照相关标准规定条件配制的掺加有防冻剂并按规定条件养护的混凝土。
5.1.16 基准砂浆 reference mortar
符合相关标准实验条件规定的、未掺加外加剂的水泥砂浆。
5.1.17 受检砂浆 tested mortar
符合相关标准实验条件规定的、掺加有一定比例外加剂的水泥砂浆。
5.1.18 复合矿物外加剂 compound mineral admixture
由两种或两种以上矿物外加剂复合而成的产品。
5.2 性能术语
5.2.1 减水率 water reducing rate
在混凝土坍落度基本相同时,基准混凝土和受检混凝土单位用水量之差与基准混凝土单位用水量之比。
5.2.2 泌水率 bleeding rate
单位质量混凝土泌出水量与其用水量之比。
5.2.3 泌水率比 ratio of bleeding rate
受检混凝土和基准混凝土的泌水率之比。
5.2.4 凝结时间 setting time
混凝土由塑性状态过渡到硬化状态所需时间。
5.2.5 初凝时间 initial setting time
混凝土从加水开始到贯入阻力达到 3.5MPa 所需的时间。
5.2.6 终凝时间 final setting time
混凝土从加水开始到贯入阻力达到 28MPa 所需的时间。
5.2.7 凝结时间差 difference in setting time
受检混凝土与基准混凝土凝结时间的差值。
5.2.8 抗压强度比 ratio of compressive strength
受检混凝土与基准混凝土同龄期抗压强度之比。
5.2.9 收缩率比 ratio of shrinkage
受检混凝土与基准混凝土同龄期收缩率之比。
5.2.10 钢筋锈蚀试验 test of corrosion of reinforcing steel bar
用来判定外加剂对钢筋有无锈蚀危害的试验,用新拌或硬化砂浆的阳极极化曲线来测试。
5.2.11 坍落度增加值 slump increase value
水灰比相同时,受检混凝土和基准混凝土坍落度之差。
5.2.12 常压泌水率比 ratio of bleeding rate at normal pressure
受检混凝土与基准混凝土在常压条件下的泌水率之比。
5.2.13 压力泌水率比 ratio of bleeding rate at pressure
受检泵送混凝土与基准混凝土在压力条件下的泌水率之比。
5.2.14 初始坍落度 initial slump
混凝土搅拌出机后,立刻测定的坍落度。
5.2.15 坍落度保留值 slump retain value
混凝土拌合物按规定条件存放一定时间后的坍落度值。
5.2.16 坍落度损失 slump loss
混凝土初始坍落度与某一特定时间的坍落度保留值的差值。
5.2.17 抗渗压力比 ratio of penetration pressure
受检混凝土抗渗压力与基准混凝土抗渗压力之比。
5.2.18 抗渗高度比 ratio of penetration height
受检混凝土抗渗高度与基准混凝土抗渗高度之比。
5.2.19 限制膨胀率 expansion rate in restrict condition
掺有膨胀剂的试件在规定的纵向限制器具限制下的膨胀率。
5.2.20 吸水量比 ratio of absorption
受检砂浆的吸水量与基准砂浆的吸水量之比。
5.2.21 需水量比 ratio of water demand
受检砂浆的流动度达到基准砂浆相同的流动度时,两者用水量之比。
5.2.22 水泥砂浆工作性 workability of cement mortar
在规定的试验条件下,受检砂浆和基准砂浆的流动度相同时,受检砂浆的减水率。
5.2.23 总碱量 total alkali content
外加剂中以氧化钠当量百分数表示的氧化钠和氧化钾的总和。
5.2.24 活性指数 index of activity
受检砂浆和基准砂浆试件标养至相同规定龄期限抗压强度之比。
5.2.25 相对耐久性指标 index of relative durability
受检混凝土经快速冻融 200 次后动弹性模量的保留值,用百分数来表示。
5.2.26 p H 值 pH value
液体外加剂酸碱程度的数值。
5.2.27 固体含量 solid content
液体外加剂中固体物质的含量。
5.2.28 含水率 moisture content
固体外加剂在规定温度下烘干失去水的重量占外加剂重量之比。
5.2.29 水泥净浆流动度 fluidity of cement paste
在规定的试验条件下,水泥浆体在玻璃平面上自由流淌的直径。
GB/T 8076—1997
2 、混 凝 土 外 加 剂
1 范围
本标准规定了用于水泥混凝土中外加剂的定义、技术要求、试验方法、检验规则、包装、出厂、贮存及退货等。
本标准适用于普通减水剂、高效减水剂、缓凝高效减水剂、早强减水剂、缓凝减水剂、引气减水剂、早强剂、缓凝剂和引气剂共九种混凝土外加剂。
2 引用标准
下列标准包含的条文通过在本标准中引用而构成本标准的条文,本标准出版时,所示版本均为有效。所有标准都会被修订,使用本标准的各方应探讨使用下列标准最新版本的可能性。
GB/T176 — 1996 水泥化学分析方法
GB/T8074 — 87 水泥表面积测定方法、勃氏法
GB/T8075 — 87 混凝土外加剂的分类、命名与定义
GB/T8077 — 87 混凝土外加剂匀质性能试验方法
GB/T14684 — 93 建筑用砂
GB/T14685 — 93 建筑用卵石、碎石
GBJ80 — 85 普通混凝土拌合物性能试验方法
GBJ81 — 85 普通混凝土力学性能试验方法
GBJ82 — 85 普通混凝土长期性能和耐久性能试验方法
JGJ55 — 81 普通混凝土配合比设计技术规定
JGJ63 — 89 混凝土拌合用水标准
3 定义
本标准采用下列定义。
3.1 外加剂
缓凝高效减水剂:兼有缓凝和大幅度减少拌合用水量的外加剂。
其余混凝土外加剂的定义见 GB/T8075 。
3.2 基准水泥
符合本标准附录 A 要求的、专门用于检验混凝土外加剂性能的水泥。
3.3 基准混凝土
按照本标准试验条件规定配制的不掺外加剂的混凝土。
4 技术要求
4.1 掺外加剂混凝土性能指标
掺外加剂混凝土性能指标应符合表 1 的要求。
表 1 掺外加剂混凝土性能指标
|
试验项目 |
外加剂品种 | ||||||||||||||||||
|
普通减水剂 |
高效减水剂 |
早强减水剂 |
缓凝高效减水剂 |
缓凝减水剂 |
引气减水剂 |
早强剂 |
缓凝剂 |
引气剂 | |||||||||||
|
一等品 |
合格品 |
一等品 |
合格品 |
一等品 |
合格品 |
一等品 |
合格品 |
一等品 |
合格品 |
一等品 |
合格品 |
一等品 |
合格品 |
一等品 |
合格品 |
一等品 |
合格品 | ||
|
减水率, % ,不小于 |
8 |
5 |
12 |
10 |
8 |
5 |
12 |
10 |
8 |
5 |
10 |
10 |
- |
- |
- |
- |
6 |
6 | |
|
泌水率比, % ,不大于 |
95 |
100 |
90 |
95 |
95 |
100 |
100 |
100 |
70 |
80 |
100 |
100 |
100 |
70 |
80 | ||||
|
含气量, % |
≤ 3.0 |
≤ 4.0 |
≤ 3.0 |
≤ 4.0 |
≤ 3.0 |
≤ 4.0 |
< 4.5 |
< 5.5 |
> 3.0 |
- |
- |
> 3.0 | |||||||
|
凝结时间之差 min |
初凝 |
-90 ~ +120 |
-90 ~ +120 |
-90 ~ +90 |
> +90 |
> +90 |
-90 ~ +120 |
-90 ~ +90 |
> +90 |
-90 ~ +120 | |||||||||
|
终凝 |
— |
— |
— | ||||||||||||||||
|
抗压强度比, % 不小于 |
1d |
— |
— |
140 |
130 |
140 |
130 |
— |
— |
— |
135 |
125 |
— |
— | |||||
|
3d |
115 |
110 |
130 |
120 |
130 |
120 |
125 |
120 |
100 |
115 |
110 |
130 |
120 |
100 |
90 |
95 |
80 | ||
|
7d |
115 |
110 |
125 |
115 |
115 |
110 |
125 |
115 |
110 |
110 |
110 |
105 |
100 |
90 |
95 |
80 | |||
|
28d |
110 |
105 |
120 |
110 |
105 |
100 |
120 |
110 |
110 |
105 |
100 |
100 |
95 |
100 |
90 |
90 |
80 | ||
|
收缩率比, % 不大于 |
28d |
135 |
135 |
135 |
135 |
135 |
135 |
135 |
135 |
135 | |||||||||
|
相对耐久性指标, %200 次,不小于 |
— |
— |
— |
— |
— |
80 |
60 |
— |
— |
80 |
60 | ||||||||
|
对钢筋锈蚀作用 |
应说明对钢筋有无锈蚀危害 | ||||||||||||||||||
|
注 1 除含气量外,表中所列数据为掺外加剂混凝土与基准混凝土的差值或比值。 2 凝结时间指标,“—”号表示提前,“ + ”号表示延缓。 3 相对耐久性指标一栏中,“ 200 次≥ 80 和 60 ” 表示将 28d 龄期的掺外加剂混凝土试件冻融循环 200 次后,动弹性模量保留值≥ 80% 或 60% 。 4 对于可以用高频振捣排除的,由外加剂所引入的气泡的产品,允许用高频振捣,达到某类型性能指标要求的外加剂,可按本表进行命名和分类,但须在产品说明包装上注明“用于高频振捣的××剂” | |||||||||||||||||||
4.2 匀质性指标
匀质性指标应符合表 2 的要求。
表 2 匀质性指标
|
试验项目 |
指 标 |
|
含固量或含水量 |
• 对液体外加剂,应在生产厂所控制值的相对量的 3% 内; • 对固体外加剂,应在生产厂控制值的相对量的 5% 之内 |
|
密度 |
对液体外加剂,应在生产厂所控制值的± 0.02g / ㎝ 3 之内 |
|
氯离子含量 |
应在生产厂所控制值相对量的 5% 之内 |
|
水泥净浆流动度 |
应不小于生产控制值的 95% |
|
细度 |
0.315 ㎜筛筛余应小于 15% |
|
pH 值 |
应在生产厂控制值± 1 之内 |
|
表面张力 |
应在生产厂控制值± 1.5 之内 |
|
还原糖 |
应在生产厂控制值± 3% |
|
总碱量( Na 2 O+0.658K 2 O ) |
应在生产厂控制值的相对量的 5% 之内 |
|
硫酸钠 |
应在生产厂控制值的相对量的 5% 之内 |
|
泡沫性能 |
应在生产厂控制值的相对量的 5% 之内 |
|
砂浆减水率 |
应在生产厂控制值± 1.5% 之内 |
5 试验方法
5.1 材料
5.1.1 水泥
采用本标准附录 A 规定的基准水泥。在因故得不到基准水泥时,允许采用 C 3 A 含量 6% ~ 8% ,总碱量( Na 2 O+0.658K 2 O )不大于 1% 的熟料和二水石膏、矿渣共同磨制的标号大于(含) 525 号普通硅酸盐水泥。但仲裁仍需用基准水泥。
5.1.2 砂
符合 GB/T14684 要求的细度模数为 2.6 ~ 2.9 的中砂。
5.1.3 石子
符合 GB/T14685 粒径为 5 ㎜~ 20 ㎜(圆孔筛),采用二级配,其中 5 ㎜~ 10 ㎜占 40% , 10 ㎜~ 20 ㎜占 60% 。如有争议,以卵石试验结果为准。
5.1.4 水
符合 JGJ63 要求。
5.1.5 外加剂
需要检测的外加剂。
5.2 配合比
基准混凝土配合比按 JGJ55 进行设计。掺非引气型外加剂混凝土和基准混凝土的水泥、砂、石的比例不变。配合比设计应符合以下规定:
• 水泥用量:采用卵石时,( 310 ± 5 )㎏ /m 3 :采用碎石时,( 330 ± 5 )㎏ /m 3 。
• 砂率:基准混凝土和掺外加剂混凝土的砂率均为 36% ~ 40% ,但掺引气减水剂和引气剂的混凝土砂率应比基准混凝土低 1% ~ 3% 。
• 外加剂掺量:按科研单位或生产厂推荐的掺量。
• 用水量:应使混凝土坍落度达( 80 ± 10 )㎜。
5.3 混凝土搅拌
采用 60L 自落式混凝土搅拌机,全部材料及外加剂一次投入,拌合量应不少于 15L ,不大于 45L ,搅拌 3min ,出料后在铁板上用人工翻拌 2 ~ 3 次再行试验。
各种混凝土材料及试验环境温度均应保持在( 20 ± 3 )℃。
5.4 试件制作及试验所需试件数量
5.4.1 试件制作:混凝土试件制作及养护按 GBJ80 进行,但混凝土预养温度为( 20 ± 3 )℃。
5.4.2 试验项目及所需数量详见表 3 。
表 3 试验项目及所需数量
|
试验项目 |
外加剂类别 |
试验类别 |
试验所需数量 | |||
|
混凝土拌合批数 |
每批取样数目 |
掺外加剂混凝土总取样数目 |
基准混凝土总取样数目 | |||
|
减水率 |
除早强剂、缓凝剂外各种外加剂 |
混凝土拌合物 |
3 |
1 次 |
3 次 |
3 次 |
|
泌水率比 |
各种外加剂 |
3 |
1 个 |
3 个 |
3 个 | |
|
含气量 |
3 |
1 个 |
3 个 |
3 个 | ||
|
凝结时间差 |
3 |
1 个 |
3 个 |
3 个 | ||
|
抗压强度比 |
硬化混凝土 |
3 |
9 或 12 块 |
27 或 36 块 |
27 或 36 块 | |
|
收缩比率 |
3 |
1 块 |
3 块 |
3 块 | ||
|
相对耐久性指标 |
引气剂、引气 减不剂 |
硬化混凝土 |
3 |
1 块 |
3 块 |
3 块 |
|
钢筋锈蚀 |
各种外加剂 |
新拌或硬化砂浆 |
3 |
1 块 |
3 块 |
3 块 |
|
注 1 试验时,检验一种外加剂的三批混凝土要在同一天内完成。 2 试验龄期参考表 1 试验项目栏 | ||||||
5.5 混凝土拌合物
5.5.1 减水率测定:减水率为坍落度基本相同时基准混凝土和掺外加剂混凝土单位用水量之差与基准混凝土单位用水量之比。坍落度按 GBJ80 测定。减水率按式( 1 )计算:
|
W R = |
W 0 — W 1 |
× 100 ……………………………… ( 1 ) |
|
W 0 |
式中: W R ——减水率, % ;
W 0 ——基准混凝土单位用水量,㎏ /m 3 ;
W 1 ——掺外加剂混凝土单位用水量,㎏ /m 3 。
WR 以三批试验的算术平均值计,精确到小数点后一位。若三批试验的最大值或最小值中有一个与中间值之差超过中间值的 15% 时,则把最大值与最小值一并舍去,取中间值作为该组试验的减水率。若有两个测值与中间值之差均超过 15% 时,则该批试验结果无效,应该重做。
5.5.2 泌水率比测定:泌水率比按式( 2 )计算,精确到小数点后一位数。
|
B R = |
B t |
× 100 ……………………………… ( 2 ) |
|
B c |
式中: B R ——泌水率之比, % ;
B t ——掺外加剂混凝土泌水率, % ;
B c ——基准混凝土泌水率, % 。
泌水率的测定和计算方法如下:
先用湿布润湿容积为 5L 的带盖筒(内径为 185 ㎜,高 200 ㎜),将混凝土拌合物一次装入,在振动台上振动 20s ,然后用抹刀轻轻抹平,加盖以防水分蒸发。试样表面应比筒口边低约 20 ㎜。自抹面开始计算时间,在前 60min ,每隔 10min 用吸液管吸出泌水一次,以后每隔 20min 吸水一次,直至连续三次无泌水为止。每次吸水前 5min ,应将筒底一侧垫高约 20 ㎜,使筒倾斜,以便于吸水。吸水后,将筒轻轻放平盖好。将每次吸出的水都注入带塞的量筒,最后计算出总的泌水量,准确至 1g ,并按式( 3 )、( 4 )计算泌水率:
|
B = |
V W |
× 100 ……………………………… ( 3 ) |
|
(W/C)G w |
G w = G 1 — G 0 ……………………………… ( 4 )
式中: B ——泌水率, % ;
V W ——泌水总质量, g ;
W ——混凝土拌合物的用水量, g ;
G ——混凝土拌合物的总质量, g ;
G w ——试样质量, g ;
G 1 ——筒及试样质量, g;
G 0 ——筒质量, g 。
试验时,每批混凝土拌合物取一个试样,泌水率取三个试样的算术平均值。若三个试样的最大值或最小值中有一个与中间值之差大于中间值的 15% ,则把最大值与最小值一并舍去,取中间值作为该组试验的泌水率,如果最大与最小值与中间值之差均大于中间值的 15% 时,则应重做。
5.5.3 含气量:按 GBJ80 用气水混合式含气量测定仪,并按该仪器说明进行操作,但混凝土拌合物一次装满并稍高于容器,用振动台振实 15s ~ 20s ,用高频插入式振捣器( ?25 ㎜, 14000 次 /min )在模型中心垂直插捣 10s 。
试验时,每批混凝土拌合物取一个试样,含气量以三个试样测值的算术平均值来表示。若三个试样中的最大值或最小值中有一个与中间值之差超过 0.5% 时,将最大值与最小值一并舍去,取中间值作为该批的试验结果,如果最大值与最小值均超过 0.5% ,则应重作。
5.5.4 凝结时间差测定:凝结时间差按式( 5 )计算:
△ T = T t — T c ……………………………… ( 5 )
式中:△ T ——凝结时间之差, min ;
T t ——掺外加剂混凝土的初凝或终凝时间, min ;
T c ——基准混凝土的初凝或终凝时间, min 。
凝结时间采用贯入阻力仪测定,仪器精度为 5N ,凝结时间测定方法如下:
将混凝土拌合物用 5 ㎜(圆孔筛)振动筛筛出砂浆,拌匀后装入上口内径为 160 ㎜,下口内径为 150 ㎜,净高 150 ㎜,净高 150 ㎜的刚性不渗水的金属圆筒,试样表面应低于筒口约 10 ㎜,用振动台振实(约 3s ~ 5s ),置于( 20 ± 3 )℃的环境中,容器加盖。一般基准混凝土在成型后 3h ~ 4h ,掺早强剂的在成型后 1h ~ 2h ,掺缓凝剂的在成型后 4h ~ 6h 开始测定,以后每 0.5h 或 1 h 测定一次,但在临近初、终凝时,可以缩短测定间隔时间。每次测点应避开前一次测孔,其净距为试针直径的 2 倍,但至少不小于 15 ㎜,试针与容器边缘之距离不小于 25 ㎜。测定初凝时间用截面积为 100 ㎜ 2 的试针,测定终凝时间用 20 ㎜ 2 的试针。贯入阻力按式( 6 )计算:
|
R = |
P |
……………………………… ( 6 ) |
|
A |
式中: R —— 贯入阻力值, MPa ;
P ——贯入深度达 25 ㎜时所需的净压力, N ;
A ——贯入仪试针的截面积,㎜ 2 。
根据计算结果,以贯入阻力值为纵坐标,测试时间为横坐标,绘制贯入阻力值与时间关系曲线,求出贯入阻力值达 3.5MPa 时对应的时间作为初凝时间及贯入阻力值达 28MPa 时对应的时间作为终凝时间。凝结时间从水泥与水接触时开始计算。
试验时,每批混凝土拌合物取一个试样,凝结时间取三个试样的平均值。若三批试验的最大值或最小值之中有一个与中间值之差超过 30min 时,则把最大值与最小值一并舍去,取中间值作为该组试验的凝结时间。若两测值与中间值之差的均超过 30min 时,该组试验结果无效,则应重做。
5.6 硬化混凝土
5.6.1 抗压强度比测定:抗压强度比以掺外加剂混凝土与基准混凝土同龄期抗压强度之比表示,按式( 7 )计算:
|
R s = |
S t |
× 100 ……………………………… ( 7 ) |
|
S c |
式中: R s ——抗压强度比, % ;
S t ——掺外加剂混凝土的抗压强度, MPa ;
S c ——基准混凝土的抗压强度, MPa 。
掺外加剂与基准混凝土的抗压强度按 GBJ81 进行试验和计算。试件用振动台振动 15s ~ 20s ,用插入式高频振捣器( ?25 ㎜, 14000 次 /min )振捣时间为 8s ~ 12s 。试件预养温度为( 20 ± 3 )℃。试验结果以三批试验测值的平均值表示,若三批试验中有一批的最大值或最小值与中间值的差值超过中间值的 15% ,则把最大及最小值一并舍去,取中间值作为该批的试验结果,如有两批测值与中间值的差均超过中间值的 15% ,则试验结果无效,应该重做。
5.6.2 收缩率比测定:收缩率比以龄期 28d 掺外加剂混凝土与基准混凝土干缩率比值表示,按( 8 )式计算:
|
R ? = |
? t |
× 100 ……………………………… ( 8 ) |
|
? c |
式中: R ? ——收缩率比, % ;
? t ——掺加外加剂的混凝土的收缩率, % ;
? c ——基准混凝土的收缩率, % 。
掺外加剂及基准混凝土的收缩率按 GBJ82 测定和计算,试件用振动台成型,振动 15s ~ 20s ,用插入式高频振动器( ?25 ㎜, 14000 次 /min )插捣 8s ~ 12s 。每批混凝土拌合物取一个试样,以三个试样收缩率的算术平均值表示。
5.6.3 相对耐久性试验:按 GBJ82 进行,试件采用振动台成型,振动 15s ~ 20s ,用插入式高频振捣器( ?25 ㎜, 14000 次 /min )时,应距两端 120 ㎜各垂直插捣 8s ~ 12s 。标准养护 28 d 后进行冻融循环试验。
每批混凝土拌合物取一个试样,冻融循环次数以三个试件动弹性模量的算术平均值表示。
相对耐久性指标是以掺外加剂混凝土冻融 200 次后的动弹性模量降至 80% 或 60% 以上评定外加剂质量。
5.7 钢筋锈蚀试验
钢筋锈蚀采用钢筋在新拌或硬化砂浆中阳极极化电位曲线来表示,测定方法按本标准附录 B 、 C 规定进行。
5.8 外加剂匀质性
外加剂匀质性试验按 GB/T8077 进行。总碱量按本标准附录 D 进测定。
6 检验规规则
6.1 取样及编号
6.1.1 试样分点样和混合样。点样是在一次生产的产品所得试样,混合样是三个或更多的点样等量均匀混合而取得的试样。
6.1.2 生产厂应根据产量和生产设备条件,将产品分批编号,掺量大于 % (含 1% )同品种的外加剂每一编号为 100t ,掺量小于 1% 的外加剂每一编号为 50t ,不足 100t 或 50t 的也可按一个批量计,同一编号的产品必须混合均匀。
6.1.3 每一编号取样量不少于 0.2t 水泥所需用的外加剂量。
6.2 试样及留样
每一编号取得的试样应充分混匀,分为两等份,一份按表 2 中规定部分项目进行试验。另一份要密封保存半年,以备有疑问时提交国家指定的检验机关进行复验或仲裁。
6.3 检验分类
6.3.1 出厂检验:每编号外加剂检验项目,根据其品种不同按表 4 项目进行检验。
表 4 外加剂测定项目
|
测定项目 |
外加剂品种 | |||||||||
|
普通 减水剂 |
高效 减水剂 |
早强 减水剂 |
缓凝高效 减水剂 |
缓凝 减水剂 |
引气 减水剂 |
早强剂 |
缓凝剂 |
引气剂 |
备注 | |
|
固体含量 |
√ |
√ |
√ |
√ |
√ |
√ |
√ |
√ |
√ |
|
|
密度 |
液体外加剂必测 | |||||||||
|
细度 |
粉状外加剂必测 | |||||||||
|
pH 值 |
√ |
√ |
√ |
√ |
√ |
√ |
||||
|
表面张力 |
√ |
√ |
√ |
√ |
||||||
|
泡沫性能 |
√ |
√ |
||||||||
|
氯离子含量 |
√ |
√ |
√ |
√ |
√ |
√ |
√ |
√ |
√ |
|
|
硫酸钠含量 |
含有硫酸钠的早强减水剂或早强剂必测 | |||||||||
|
总碱量 |
√ |
√ |
√ |
√ |
√ |
√ |
√ |
√ |
√ |
每年至少一次 |
|
还原糖分 |
√ |
√ |
√ |
√ |
木质素磺酸钙减水剂必测 | |||||
|
水泥净浆流动度 |
√ |
√ |
√ |
√ |
√ |
√ |
两种任选一种 | |||
|
水泥砂浆流动度 |
√ |
√ |
√ |
√ |
√ |
√ |
√ |
√ |
||
6.3.2 型式检验:型式检验项目包括表 2 中匀质性及表 1 中新拌及硬化混凝土性能指标。有下列情况之一者,应进行型式检验:
• 新产品或老产品转厂生产的试制定型鉴定;
• 正式生产后,如材料、工艺有较大改变,可能影响产品性能时;
• 正常生产时,一年至少进行一次检验;
• 产品长期停产后,恢复生产时;
• 出厂检验结果与上次型式检验有较大差异时;
• 国家质量监督机构提出进行型式试验要求时。
6.4 判定规则
产品经检验,匀质性符合表 2 的要求,各种类型的减水剂的减水率、缓凝型外加剂的凝结时间差、引气型外加剂的含气量及硬化混凝土的各项性能符合表 1 要求,则判定该编号外加剂为相应等级的产品,如不符合上述要求时,则判该编号外加剂不合格。其余项目作为参考指标。
6.5 复验
复验以封存样进行。如使用单位要求现场取样,应事先在供货合同中规定,并在生产和使用单位人员在场的情况下于现场取平均样,复验按照型式检验项目检验。
7 包装、出厂、贮存及退货
7.1 包装
粉状外加剂应采用有塑料袋衬里的编织袋,每袋重 20 ㎏~ 50 ㎏,液体外加剂应采用塑料桶、金属桶包装或槽车运输。
所有包装的容器上均应在明显位置注明以下内容:产品名称、型号、净质量或体积(包适含量或浓度)、生产厂名。生产日期及出厂编号应于产品合格证上予以说明。
7.2 产品出厂
凡有下列情况之一者,不得出厂:不合格品、技术文件不全(产品说明书、合格证、检验报告)、包装不符、质量不足、产品受潮变质,以及超过有效期限。
生产厂随货提供说明书的内容应包括产品名称及型号、出厂日期、主要特性及成分、适用范围及推荐掺量、外加剂总碱量、氯离子含量、有无毒性、易燃状况、储存条件及有效期、使用方法及注意事项。
7.3 贮存
外加剂应存放在专用仓库或固定的场所妥善保管,以易于识别,便于检查和提货为原则。
7.4 退货
7.4.1 使用单位在规定的存放条件和有效期限内,经复验发现外加剂性能与本标准不符时,则应予退回或更换。
7.4.2 实际的质量、体积与规定的质量、体积(按固形物计)有 2% 的差异时,可以要求退货或补足。粉状的可取 50 包,液体的可取 30 桶(其他包装形式由双方协商),称量取平均值计算。
7.4.3 凡无出厂文件或出厂技术文件不全,以及发现实物质量与出厂技术文件不符合,可退货。
附 录 A
(标准的附录)
混凝土外加剂性能检验用基准水泥技术条件
基准水泥是统一检验混凝土外加剂性能的材料,是由符合下列品质指标的硅酸盐水泥熟料与二水石膏共同粉磨而成的标号大于(含) 525 号的硅酸盐水泥。基准水泥必须由经中国水泥质量监督中心确认具备生产条件的工厂供给。
A1 品质指标 (除满足 525 号硅酸盐水泥技术要求外)
A1.1 铝酸三钙( C 3 A )含量 6% ~ 8% 。
A1.2 硅酸三钙( C 3 S )含量 50% ~ 55% 。
A1.3 游离氧化钙( fCaO )含量不得超过 1.2% 。
A1.4 碱( Na 2 O+0.658K 2 O )含量不得超过 1.0% 。
A1.5 水泥比表面积( 320 ± 20 )㎡ / ㎏。
A2 试验方法
A2.1 游离氧化钙、氧化钾和氧化钠的测定,按 GB/T176 进行。
A2.2 水泥比表面积的测定,按 GB/T8074 进行。
A2.3 铝酸三钙和硅酸三钙含量由熟料中氧化钙、二氧化硅、三氧化二铝和三氧化二铁含量,按下式计算得:
C 3 S=3.80 · SiO 2 (3KH-2) ……………………………………… (A1)
C 3 A =2.65 · (Al 2 O 3 — 0.64 · Fe 2 O 3 ) ……………………… (A2)
|
KH= |
CaO — fCaO — 1.65 · Al 2 O 3 — 0.35 · Fe 2 O 3 |
……………………… (A3) |
|
2.80 · SiO 2 |
式中: C 3 S 、 C 3 A 、 SiO 2 、 Al 2 O 3 、 Fe 2 O 3 和 fCaO 分别表示该成分在熟料中所占的质量百分数, KH 表示石灰保护系数。
A3 验收规则
A3.1 基准水泥出厂一吨为一编号。每一编号应取三个有代表性的样品,分别测定比表面积,测定结果均须符合规定。
A3.2 凡不符合本技术条件 A1 中任何一项规定时,均不得出厂。
A4 包装及贮运
包装袋应结实牢固和密封良好,采用金属桶装或加有塑料袋的纸袋包装。每袋净重 50 ㎏。袋中须有合格证,注明生产日期、编号。有效储存期半年。
附 录 B
(标准的附录)
钢筋锈蚀快速试验方法(新拌砂浆法)
B1 仪器设备
• 恒电位仪
专用的符合标准要求的钢筋锈蚀测量仪,或恒电位 / 恒电流仪,或恒电流仪,或恒电位仪(输出电流范围不小于 0 ~ 2000 μ A ,可连续变化 0 ~ 2V ,精度≤ 1% );
• 甘汞电极;
• 定时钟;
• 电线:铜芯塑料线;
• 绝缘涂料(石蜡:松香 9 : 1 );
• 试模:塑料有底活动模(尺寸 40mm × 100mm × 150mm )。
B2 试验步骤
B2.1 制作钢筋电极
将Ⅰ级建筑钢筋加工制成直径 7mm ,长度为 100 mm ,表面粗糙度 R a 的最大允许值为 1.6 μ m 的试件,用汽油、乙醇、丙酮依次浸擦除去油脂,并在一端焊上长 130mm ~ 150mm 的导线,再用乙醇仔细擦去焊油,钢筋两端浸涂热熔石蜡松香绝缘涂料,使钢筋中间暴露长度为 80mm ,计算其表面积。经过处理后的钢筋放入干燥器内备用,每组试件三根。
B2.2 拌制新鲜砂浆
在无特定要求时,采用水灰比 0.5 ,灰砂比 1 : 2 配制砂浆,水为蒸馏水,砂为检验水泥强度用的标准砂,水泥为基准水泥(或按试验要求的配合比配制)。干拌 1min ,湿拌 3min 。检验外加剂时,外加剂按比例随拌和水加入。
B2.3 砂浆及电极入模
把拌制好的砂浆浇入试模中,先浇一半(厚 20mm 左右)。将两根处理好经检查无锈痕的钢筋电极平行放在砂浆表面,间距 40mm ,拉出导线,然后灌满砂浆抹平,并轻敲几下侧板,使其密实。
B2.4 连接试验仪器
按图 B1 连接试验装置,以一根钢筋作为阳极接仪器的“研究”与“ * 号”接线孔,另一根钢筋为阴极(即辅助电极)接仪器的“辅助”接线孔,再将甘汞电极的下端与钢筋阳极的正中位置对准,与新鲜砂浆表面接触,并垂直于砂浆表面。甘汞电极的导线接仪器的“参比”接线孔。在一些现代新型钢筋锈蚀测量仪或恒电位 / 恒电流仪上,电极输入导线通常为集束导线,只须按规定将三个夹子分别接阳极钢筋、阴极钢筋和甘汞电极即可。
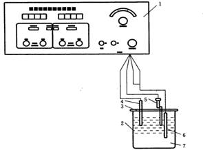
1
• 钢筋锈蚀测量仪或恒电位 / 恒电流仪; 2 —硬塑料模;
• 甘汞电极; 4 —新拌砂浆; 5 —钢筋阴极; 6 —钢筋阳极
图 B1 新鲜砂浆极化电位测试装置图
B2.5 测试
• 未通外加电流前,先读出阳极钢筋的自然电位 V (即钢筋阳极与甘汞电极之间的电位差值)。
• 接通外加电流,并按电流密度 50 × 10 -2 A / ㎡(即 50 μ A /cm 2 )调整 μ A 表至需要值。同时,开始计算时间,依次按 2 、 4 、 6 、 8 、 10 、 15 、 20 、 25 、 30 、 60min ,分别记录阳极极化电位值。
B3 试验结果处理
B3.1 以三个试验电极测量结果的平均值,作为钢筋阳极极化电位的测定值,以时间为横坐标,阳极极化电位为纵坐标,绘制电位 - 时间曲线(如图 B2 )。
B3.2 根据电位 - 时间曲线判断砂浆中的水泥、外加剂等对钢筋锈蚀的影响。
a) 电极通电后,阳极钢筋电位迅速向正方向上升,并在 1min ~ 5min 内达到析氧电位值,经 30min 测试,电位值无明显降低,如图 B2 中的曲线①,则属钝化曲线。表明阳极钢筋表面钝化膜完好无损,所测外加剂对钢筋是无害的。
b) 通电后,阳极钢筋电位先向正方向上升,随着又逐渐下降,如图 B2 中的曲线②,说明钢筋表面钝化膜已部分受损。而图 B2 中的曲线③属活化曲线,说明钢筋表面钝化膜破坏严重。这两种情况均表明钢筋钝化膜已遭破坏。但这时对试验砂浆中所含的水泥、外加剂对钢筋锈蚀的影响仍不能作出明确的判断,还必须再作硬化砂浆阳极极化电位的测量,以进一步判别外加剂对钢筋有无锈蚀危害。
c) 通电后,阳极钢筋电位随时间的变化有时会出现图 B2 曲线①和②之间的中间态情况,即电位先向正方上升至较正电位值(例如≥ +600mV ),持续一段稳定时间,然后渐呈下降趋势,如电位值迅速下降,是属第②项情况。如电位值缓降,且变化不多,则试验和记录电位的时间再延长 30min ,继续 35 , 40 , 45 , 50 , 55 , 60 分 min 分别记录阳极极化电位值,如果电位曲线保持稳定不再下降,可认为钢筋表面尚能保持完好钝化膜,所测外加剂对钢筋是无害的;如果电位曲线继续持续下降,可认为钢筋表面钝化膜已破损而转变为活化状态,对于这种情况,还必须再作硬化砂浆阳极极化电位的测量,以进一步判别外加剂对钢筋有无锈蚀危害。
电位( mV )
图 B2 恒电流、电位、时间曲线分析图
附 录 C
(标准的附录)
钢筋锈蚀快速试验方法(硬化砂浆法)
C1 仪器设备
• 恒电位仪:专用的符合标准要求的钢筋锈蚀测量仪或恒电位 / 恒电流仪,或恒电流仪,或恒电位仪(输出电流范围不小于 0 ~ 2000 μ A ,可连续变化 0 ~ 2V ,精度≤ 1% );
• 不锈钢片电极;
• 甘汞电极( 232 型或 222 型);
• 定时钟;
• 电线;铜芯塑料线(型号 RV1 × 16/0 .15mm );
• 绝缘涂料(石蜡:松香 =9 : 1 );
• 搅拌锅、搅拌铲;
• 试模:长 95mm ,宽和高均为 30mm 的棱柱体,模板两端中心带有固定钢筋的凹孔,其直径为 7.5mm ,深 2 ~ 3mm ,半通孔。试模用 8mm 厚,硬聚氯乙烯塑料板制成。
C2 试验步聚
C2.1 制备埋有钢筋的砂浆电极
• 制备钢筋
采用Ⅰ级建筑钢筋经加工成直径 7mm ,长度 100mm ,表面粗糙度 R a 的最大允许值为 1.6 μ m 的试件,使用汽油、乙醇、丙酮依次浸擦除去油脂,经检查无锈痕后放入干燥器中备用,每组三根。
• 成型砂浆电极
将钢筋插入试模两端的预留凹孔中,位于正中。按配比拌制砂浆,灰砂比为 1 : 2.5 ,采用基准水泥、检验水泥强度用的标准砂、蒸馏水(用水量按砂浆稠度 5cm ~ 7cm 时的加水量而定),外加剂采用推荐掺量。将称好的材料放入搅拌锅内干拌 1min ,湿拌 3min 。将拌匀的砂浆灌入预先按放好钢筋的试模内,置检验水泥强度用的振动台上振 5s ~ 10s ,然后抹平。
c) 砂浆电极的养护及处理
试件成型后盖上玻璃板,移入标准养护室养护, 24h 后脱模,用水泥净浆将外露的钢筋两头覆盖,继续标准养护 2d 。取出试件,除去端部的封闭净浆,仔细擦净外露钢筋头的锈斑。在钢筋的一端焊上长 130mm 150mm 的导线,用乙醇擦去焊油,并在试件两端浸涂热石蜡松香绝缘。使试件中间暴露长度为 80mm ,如图 C1 所示。

• 导线; 2 —石蜡; 3 —砂浆; 4 —钢筋
图 C1 钢筋砂浆电极
C2.2 测试
• 将处理好的硬化砂浆电极置于饱和氢氧化钙溶液中,浸泡数小时,直至浸透试件,其表征为监测硬化砂浆电极在饱和氢氧化钙溶液中的自然电位至电位稳定且接近新拌砂浆中的自然电位,由于存在欧姆电压降可能会使两者之间有一个电位差。试验时应注意不同类型或不同掺量外加剂的试件不得放置在同一容器内浸泡,以防互相干扰。
• 把一个浸泡后的砂浆电极移入盛有饱和氢氧化钙溶液的玻璃缸内,使电极浸入溶液的深度为 8cm ,以它作为阳极,以不锈钢片作为阴极(即辅助电极),以甘汞电极作参比。按图 C2 要求接好试验线路。
• 未通外加电流前,先读出阳极(埋有钢筋的砂浆电极)的自然电位 V 。
• 接通外加电流,并按电流密度 50 × 10 -2 A / ㎡(即 50 μ A/cm 2 )调整 μ A 表至需要值。同时,开始计算时间,依次按 2 、 4 、 6 、 8 、 10 、 15 、 20 、 25 、 30min ,分别记录埋有钢筋的砂浆电极阳极极化电位值。
C3 试验结果处理
C3.1 取一组三个埋有钢筋的硬化砂浆电极极化电位的测量结果的平均值作为测定值,以阳极极化电位为纵坐标,时间为横坐标,绘制阳极极化电位 - 时间曲线。
C3.2 根据电位 - 时间曲线判断砂浆中的水泥、外加剂等对钢筋锈蚀的影响。
a) 电极通电后,阳极钢筋电位迅速向正方向上升,并在 1min ~ 5min 内达到析氧电位值,经 30min 测试,电位值无明显降低,如图 B2 中的曲线①,则属钝化曲线。表明阳极钢筋表面钝化膜完好无损,所测外加剂对钢筋是无害的。
b) 通电后,阳极钢筋电位先向正方向上升,随着又逐渐下降,如图 B2 中的曲线②,说明钢筋表面钝化膜已部分受损。而图 B2 中的曲线③活化曲线,说明钢筋表面钝化膜破坏严重。这两种情况均表明钢筋钝化膜已遭破坏,所测外加剂对钢筋是有锈蚀危害的。

• 钢筋锈蚀测量仪或恒电位 / 恒电流仪; 2 —烧杯 1000mL ; 3 —有机玻璃盖;
4 —不锈钢片(阴极); 5 —甘汞电极; 6 —硬化砂浆电极(阳极); 7 —饱和氢氧化钙溶液
图 C2 硬化砂浆极化电位测试装置图
附 录 D
(标准的附录)
混凝土外加剂中碱总量的测定方法
(火焰光度法)
D1 适用范围
矿物质的混凝土外加剂:如膨胀剂等,不在此范围之内。
D2 方法提要
试样用约 80 ℃ 的热水溶解,以氨水分离铁、铝;以碳酸钙分离钙、镁。滤液中的碱(钾和钠),采用相应的滤光片,用光焰光度计进行测定。
D3 试剂与仪器
• 水:本方法所涉及的水为蒸馏水或同等纯度的水。
• 试剂:本方法所涉及的化学试剂除特别注明外,均匀分析纯化学试剂。
• 氧化钾、氧化钠标准溶液:精确称取已在 130 ~ 150 ℃烘过 2h 的氯化钾(光谱纯) 0.7920g 及氯化钠(光谱纯) 0.9430g ,置于烧杯中,加水溶解后,移入 1000mL 容量瓶中,用水稀释至标线,摇匀,转移至干燥的带盖的塑料瓶中。此标准溶液每毫升相当于氧化钾及氧化钠 0.5mg 。
• 盐酸( 1+1 )
• 氨水( 1+1 )
• 碳酸铵溶液 [10% ( W / V ) ]
• 甲基红指示剂 {[0.2 %( W / V )] 乙醇溶液 } 。
• 火焰光度计。
D4 工作曲线的绘制
分别向 100mL 容量瓶中注入 0.00 ; 1.00 ; 2.00 ; 4.00 ; 8.00 ; 12.00mL 的氧化钾、氧化钠标准溶液(分别相当于氧化钾、氧化钠各 0.00 ; 0.50 ; 1.00 ; 2.00 ; 4.00 ; 6.00mg ),用水稀释至标线,摇匀,然后分别于火焰光度计上按仪器使用规程进行测定,根据测得的检流计读数与溶液的浓度关系,分别绘制氧化钾及氧化钠的工作曲线。
D5 分析步骤
准确称取一定量的试样置于 150mL 的瓷蒸发皿中,用 80 ℃ 左右的热水润湿并稀释至 30mL ,置于电热板上加热蒸发,保持微沸 5min 后取下,冷却,加 1 滴甲基红指示剂 {[0.2%(W/V)] 乙醇溶液 } ,滴加氨水( 1+1 ),使溶液呈黄色,加入 10mL 碳酸铵溶液 [10% ( W/V ) ] ,搅拌,置于电热板上加热并保持微沸 10min ,用中速滤纸过滤,以热水洗涤,滤液及洗液盛于容量瓶中,冷却至室温,以盐酸( 1+1 )中和至溶液呈红色,然后用水稀释至标线,摇匀,以火焰光度计按仪器使用规程进行测定。称样量及稀释倍数见表 D1 。
表 D1
|
总碱量, % |
称样量, g |
稀释体积 ,mL |
稀释倍数 (n) |
|
1.0 |
0.2 |
100 |
1 |
|
1.0 ~ 5.0 |
0.1 |
250 |
2.5 |
|
5.0 ~ 10.0 |
0.05 |
250 或 500 |
2.5 或 5.0 |
|
10.0 |
0.05 |
500 或 1000 |
5.0 或 10.0 |
D6 氧化钾与氧化钠含量计算
氧化钾百分含量 (X 1 ) 及氧化钠百分含量 (X 2 ) 分别按 (D1) 和 (D2) 式计算 :
|
X 1 (%)= |
C 1 × n |
× 100 …………………… (D1) |
|
G × 1000 |
|
X 2 (%)= |
C 2 × n |
× 100 …………………… (D2) |
|
G × 1000 |
式中 : C 1 ——在工作曲线上查得每 100mL 被测溶液中氧化钾的含量, mg ;
C 2 ——在工作曲线上查得每 100mL 被测溶液中氧化钾的含量, mg ;
n ——被测溶液的稀释倍数;
G ——试样质量, g 。
D7 总碱量按( D3 )式计算
总碱量( % ) =0.658 × X 1 + X 2 ………………………………( D3 )
式中: X 1 ——氧化钾含量, % ;
X 2 ——氧化钠含量, % 。
D8 分析结果的允许误差范围
分析结果的允许误差范围见表 D2 。
表 D2
|
总碱量, % |
室内允许误差, % |
室间允许误差, % |
|
1.0 |
0.10 |
0.15 |
|
1.0 ~ 5.0 |
0.20 |
0.30 |
|
5.0 ~ 10.0 |
0.30 |
0.50 |
|
大于 10.0 |
0.50 |
0.80 |
D9 总碱量的测定
总碱量的测定亦可采用原子吸收光谱法,参见 GB/T 176 中 3.11.2
GB/T 8077—2000
3 、混凝土外加剂匀质性试验方法
1 范围
本标准规定了用于水泥混凝土中外加剂的匀质性试验方法。
本标准适用于普通减水剂、高效减水剂、缓凝高效减水剂、早强减水剂、缓凝减水剂、引气减水剂、早强剂、缓凝剂、引气剂、泵送剂、防水剂、防冻剂、膨胀剂和速凝剂共 14 种混凝土外加剂。
2 引用标准
下列标准所包含的条文,通过在本标准中引用而构成为本标准的条文。本标准出版时,所示版本均为有效。所有标准都会被修订,适用本标准的各方应探讨使用下列标准最新版本的可能性。
GB/T176 — 1996 水泥化学分析方法 (eqv ISO 680 : 1990)
GB/T9419 — 1994 水泥胶砂流动度测定方法
JC/T 681 — 1997 行星式水泥胶砂搅拌机 (eqv ISO 679 : 1989(E)4 . 2 . 3)
3 一般规定
3 . 1 试验次数与要求
每项测定的试验次数规定为两次。用两次试验平均值表示测定结果。
本标准所用的水为蒸馏水或同等纯度的水 ( 水泥净浆流动度、水泥砂浆工作性除外 ) 。
本标准所用的化学试剂除特别注明外,均为分析纯化学试剂。
3 . 2 允许差
本标准所列允许差为绝对偏差。
室内允许差:同一分析试验室同一分析人员 ( 或两个分析人员 ) ,采用本标准方法分析同一试样时,两次分析结果应符合允许差规定。如超出允许范围,应在短时间内进行第三次测定 ( 或第三者的测定 ) ,测定结果与前两次或任一次分析结果之差值符合允许差规定时,则取其平均值,否则,应查找原因,重新按上述规定进行分析。
室间允许差:两个试验室采用本标准方法对同一试样各自进行分析时,所得分析结果的平均值之差应符合允许差规定。如有争议应商定另一单位按本标准进行仲裁分析。以仲裁单位报出的结果为准,与原分析结果比较,若两个分析结果差值符合允许差规定,则认为原分析结果无误。
4 固体含量
4 . 1 方法提要
将已恒量的称量瓶内放人被测试样于一定的温度下烘至恒量。
4 . 2 仪器
a) 天平:不应低于四级,精确至 0.0001g ;
b) 鼓风电热恒温干燥箱:温度范围 0 ~ 20 0 ℃ ;
c) 带盖称量瓶: 25m m × 65mm ;
d) 干燥器:内盛变色硅胶。
4 . 3 试验步骤
4 . 3 . 1 将洁净带盖称量瓶放人烘箱内,于 100 ~ 10 5 ℃ 烘 30min ,取出置于干燥器内,冷却 30min 后称量,重复上述步骤直至恒量,其质量为 m 。。 -
4 . 3 . 2 将被测试样装入已经恒量的称量瓶内,盖上盖称出试样及称量瓶的总质量为 m 1 。试样称量:固体产品 1.0000 ~ 2.0000g ;液体产品 3.0000 ~ 5.0000g 。
4 . 3 . 3 将盛有试样的称量瓶放人烘箱内,开启瓶盖,升温至 100 ~ 10 5 ℃ ( 特殊品种除外 ) 烘干,盖上盖置于干燥器内冷却 30min 后称量,重复上述步骤直至恒量,其质量为 m20
4 . 4 结果表示
固体含量 X 固同按式 (1) 计算:
|
X 固 = |
m 2 - m 0 |
× 100 (1) |
|
m 1 - m 0 |
(1)
式中 X 固 ——固体含量,%;
m 0 ——称量瓶的质量, g ;
m l ——称量瓶加试样的质量, g ;
m 2 ——称量瓶加烘干后试样的质量, g 。
4 . 5 允许差
室内允许差为 0.30 %;
室间允许差为 0.50 %。
5 密度
5 . 1 比重瓶法
5 . 1 . 1 方法提要
将已校正容积 (y 值 ) 的比重瓶,灌满被测溶液,在 ( 加土 1) ℃恒温,在天平上称出其质量。
5 . 1 . 2 测试条件
a) 液体样品直接测试;
b) 固体样品溶液的浓度为 10 g /L ;
c) 被测溶液的温度为 (20 ± 1) ℃;
d) 被测溶液必须清澈,如有沉淀应滤去。
5 . 1 . 3 仪器
a) 比重瓶: 25mL 或 50mL ;
b) 天平:不应低于四级,精确至 0.0001g ;
c) 干燥器:内盛变色硅胶;
d) 超级恒温器或同等条件的恒温设备。
5 . 1 . 4 试验步骤
5 . 1 . 4 . 1 比重瓶容积的校正
比重瓶依次用水、乙醇、丙酮和乙醚洗涤并吹干,塞子连瓶一起放人干燥器内,取出,称量比重瓶之质量为 m 0 ,直至恒量。然后将预先煮沸并经冷却的水装人瓶内,塞上塞子,使多余的水分从塞子毛细管流出,用吸水纸吸干瓶外的水。注意不能让吸水纸吸出塞子毛细管里的水,水要保持与毛细管上口相平,立即在天平称出比重瓶装满水后的质量 m l 。
容积 y 按式 (2) 计算:
|
V = |
m 1 - m 0 |
(2) |
|
0.9982 |
式中 V ——比重瓶在 20'E 时的容积, mL ;
m 0 ——干燥的比重瓶质量, g ;
m 1 ——比重瓶盛满 20~C 水的质量, g ;
0.9982 —— 2 0 ℃ 时纯水的密度, g/mL 。
5 . 1 . 4 . 2 外加剂溶液密度户的测定
将已校正 V 值的比重瓶洗净、干燥、灌满被测溶液,塞上塞子后浸入 (20 ± 1) ℃超级恒温器内,恒温 20min 后取出,用吸水纸吸干瓶外的水及由毛细管溢出的溶液后,在天平上称出比重瓶装满外加剂溶液后的质量为 m 2 。
5 . 1 . 5 结果表示
外加剂溶液的密度 ρ 按式 (3) 计算:
|
ρ = |
m 2 - m 0 |
= |
m 2 - m 0 |
× 0.9982 (3) |
|
V |
m 1 - m 0 |
式中 ρ —— 2 0 ℃ 时外加剂溶液密度, g /mL ;
m 2 ——比重瓶装满 2 0 ℃ 外加剂溶液后的质量, g 。
5 . 1 . 6 允许差
室内允许差为 0.001 g /mL ;
室间允许差为 0.002 g /mL 。 5 . 2 液体比重天平法
5 . 2 . 1 方法提要
在液体比重天平的一端挂有一标准体积与质量之测锤,浸没于液体之中获得浮力而使横梁失去平衡,然后在横梁的 V 型槽里放置各种定量砝码使横梁恢复平衡,所加砝码之读数 d ,再乘以 0.9982 g /mL 即
为被测溶液的密度 ρ 值。
5 . 2 . 2 测试条件
测试条件同 5 . 1 . 2 。
5 . 2 . 3 仪器
a) 液体比重天平 ( 构造示意见图 1) ;

图 1 液体比重天平
1 一托架; 2 一横梁; 3 一平衡调节器; 4 一灵敏度调节器;
5 一玛瑙刃座; 6 一测锤; 7 一玻筒;
8 一等重砝码; 9 一水平调节; 10 一紧固螺钉
b) 超级恒温器或同等条件的恒温设备。
5 . 2 . 4 试验步骤
5 . 2 . 4 . 1 液体比重天平的调试
将液体比重天平安装在乎稳不受震动的水泥台上,其周围不得有强力磁源及腐蚀性气体,在横梁 (2) 的末端钩子上挂上等重砝码 (8) ,调节水平调节螺丝 (9) ,使横梁上的指针与托架指针成水平线相对,天平即调成水平位置;如无法调节平衡时,可将平衡调节器 (3) 的定位小螺丝钉松开,然后略微轻动平衡调节 (3) ,直至平衡为止。仍将中间定位螺丝钉旋紧,防止松动。
将等重砝码取下,换上整套测锤 (6) ,此时天平必须保持平衡,允许有土 0.0005 的误差存在。
如果天平灵敏度过高,可将灵敏度调节 (4) 旋低,反之旋高。
5 . 2 . 4 . 2 外加剂溶液密度 ρ 的测定
将已恒温的被测溶液倒人量筒 (7) 内,将液体比重天平的测锤浸没在量筒中被测溶液的中央,这时横梁失去平衡,在横梁 V 形槽与小钩上加放各种砝码后使之恢复平衡,所加砝码之读数 d ,再乘以 0.9982g /mL ,即为被测溶液的密度 ρ 值。
5 . 2 . 5 结果表示
将测得的数值 d 代入式 (4) 计算出密度 ρ :
Ρ =0.9982 d (4)
式中 d —— 2 0 ℃ 时被测溶液所加砝码的数值。
5 . 2 . 6 允许差
室内允许差为 0.001 g /mL ;
室间允许差为 0.002 g /mL 。
5 . 3 精密密度计法
5 . 3 . 1 方法提要
先以波美比重计测出溶液的密度,再参考波美比重计所测得的数据,以精密密度计准确测出试样的密度 ρ 值。
5 . 3 . 2 测试条件
测试条件同 5 . 1 . 2 。
5 . 3 . 3 仪器
a) 波美比重计;
b) 精密密度计;
c) 超级恒温器或同等条件的恒温设备。
5 . 3 . 4 试验步骤
将已恒温的外加剂倒人 500mL 玻璃量筒内,以波美比重计插入溶液中测出该溶液的密度。
参考波美比重计所测溶液的数据,选择这一刻度范围的精密密度计插入溶液中,精确读出溶液凹液面与精密密度计相齐的刻度即为该溶液的密度 ρ 。
5 . 3 . 5 结果表示
测得的数据即为 2 0 ℃ 时外加剂溶液的密度。
5 . 3 . 6 允许差
室内允许差为 0.001 g /mL ;
室间允许差为 0.002 g /mL 。
6 细度
6 . 1 方法提要
采用孔径为 0.315mm 的试验筛,称取烘干试样 m 0 。倒入筛内,用人工筛样,称量筛余物质量 m 1 ,按式 (5) 计算出筛余物的百分含量。
6 . 2 仪器
a) 药物天平:称量 100g ,分度值 0.1g ;
b) 试验筛:采用孔径为 0.315mm 的铜丝网筛布。筛框有效直径 150mm 、高 50mm 。筛布应紧绷在筛框上,接缝必须严密,并附有筛盖。
6 . 3 试验步骤
外加剂试样应充分拌匀并经 10 0 ~ 10 5 ℃ ( 特殊品种除外 ) 烘干,称取烘干试样 10g 倒入筛内,用人工筛样,将近筛完时,必须一手执筛往复摇动,一手拍打,摇动速度每分钟约 120 次。其间,筛子应向一定方向旋转数次,使试样分散在筛布上,直至每分钟通过质量不超过 0.05g 时为止。称量筛余物,称准至 0.1g 。
6 . 4 结果表示
细度用筛余 ( % ) 表示按式 (5) 计算:
|
筛余 = |
m 1 |
× 100 (5) |
|
m 2 |
式中 m 1 ——筛余物质量, g ;
m 2 ——试样质量, g 。
6 . 5 允许差
室内允许差为 0.40 %;
室间允许差为 0.60 %。
7 pH 值
7 . 方法提要
根据奈斯特 (Nemst) 方程 E=E 0 + 0.059151g [H + ] , E=E 0 - 0.05915pH ,利用一对电极在不同 pH 值溶液中能产生不同电位差,这一对电极由测试电极 ( 玻璃电极 ) 和参比电 - 极 ( 饱和甘汞电极 ) 组成,在 2 5 ℃ 时每相差一个单位 pH 值时产生 59.15rev 的电位差, pH 值可在仪器的刻度上直接读出。
7 . 2 仪器
a) 酸度计;
b) 甘汞电极;
c) 玻璃电极;
d) 复合电极。
7 . 3 测试条件
a) 液体样品直接测试;
b) 固体样品溶液的浓度为 10 g /mL ;
c) 被测溶液的温度为 2 0 ℃ 土 3 ℃ 。
7 . 4 试验步骤
7 . 4 . 1 校正
按仪器的出厂说明书校正仪器。
7 . 4 . 2 测量
当仪器校正好后,先用水,再用测试溶液冲洗电极,然后再将电极浸入被测溶液中轻轻摇动试管,使溶液均匀。待到酸度计的读数稳定 1min ,记录读数。测量结束后,用水冲洗电极,以待下次测量。
7 . 5 结果表示
酸度计测出的结果即为溶液的 pH 值。
7 . 6 允许差
室内允许差为 0.2 ;
室间允许差为 0.5 。
8 表面张力
8 . 1 方法提要
铂环与液面接触后,在铂环内形成液膜,提起铂环时所需的力与液体表面张力相平衡,测定液膜脱离液面的力之大小。
8 . 2 测试条件
a) 液体样品直接测试;
b) 固体样品溶液的浓度为 10 g /L ;
c) 被测溶液的温度为 2 0 ℃ ± 1 ℃ ;
d) 被测溶液必须清澈,如有沉淀应滤去。
8 . 3 仪器
a) 界面张力仪 ( 构造示意图 2) 或自动界面张力仪;
b) 天平:不低于四级,精确至 0.0001g 。
8 . 4 试验步骤
8 . 4 . 1 用比重瓶或液体比重天平测定该外加剂溶液的密度。
8 . 4 . 2 将仪器调至水平,把铂环放在吊杆臂的下末端,把一划、纸片放在铂环的圆环上,把臂之制止器打开,把放大镜调好,使臂上的指针与反射镜上的红线重合。
8 . 4 . 3 用质量法校正。在铂圆环的小纸片上放上一定质量的砝码,使指针与红线重合时,游标指示正好与计算值一致。如果不一致时调整臂长度,保证铂环在试验中垂直地上下移动,再通过游码的前后移动达到调整结果。

图 2 界面张力仪
A 一样品座; B —样品座螺丝; C 一刻度盘; D 一游标;、 E 一水平螺旋; F - 臂; G 一臂 2 ;
H —臂 3 ; I -调节臂的螺母; J -臂的制止器 (1) ; K 一臂的制止器 (2) ; L 一指针; M 一涡轮把手;
N 一钢丝; O 一游码; P 一微调涡轮把手; Q 一固定钢丝手母; R 一放大镜;
S 一样品座的制止器; T -水准泡
8 . 4 . 4 在测量之前,应把铂环和玻璃器皿很好地进行清洗彻底去掉油污。
8 . 4 . 5 空白试验用无水乙醇作标样,测定其表面张力,测定值与理论值之差不得超过 0.5Mn/m 。
8 . 4 . 6 把被测溶液倒人盛样皿中 ( 离皿口 5 ~ 7mm ) ,并将样品座升高,使铂环浸入溶液内 5 ~ 7mm 。
8 . 4 . 7 旋转涡轮把手,匀速增加钢丝扭力,同时下降样品座,使向上与向下的两个力保持平衡 ( 保持指针与反射镜上的红线重合 ) ,直至环被拉脱离开液面,记录刻度盘上的读数 P 。
8 . 5 采用自动界面张力仪测量时,试验步骤按仪器使用说明书进行。
8 . 6 结果表示
溶液表面张力 σ 按式 (6) 计算
σ= F · P (6)
式中 σ ——溶液的表面张力, Mn/m ;
P ——游标盘上读数, mN/m ;
F ——校正因子。
校正因子 F 按式 (7) 计算
( 7 )
式中 C ——铂环周长 27 л R , cm ;
R ——铂环内半径和铂丝半径之和, cm ;
ρ 0 ——空气密度, g/mL ;
ρ ——被测溶液密度,旷 mL ;
r ——铂丝半径, cm 。
8 . 7 允许差
室内允许差为 1.0mN/m ;
室间允许差为 1.5mN/m 。
9 氯离子含量
9.1 方法提要
用电位滴定法,以银电极或氯电极为指示电极 , 其电势随 Ag + 浓度而变化。以甘汞电极为参比电极,用电位计或酸度计测定两电极在溶液中组成原电池的电势,银离子与氯离子反应生成溶解度很小的氯化银白色沉淀。在等当点前滴入硝酸银生成氯化银沉淀,两电极间电势变化缓慢,等当点时氯离子全部生成氯化银沉淀,这时滴入少量硝酸银即引起电势急剧变化,指示出滴定终点。
9.2 试剂
a )硝酸( 1+1 );
b )硝酸银溶液( 17g /L ):准确称取约 17g 硝酸银( AgNO 3 ),用水溶解,放入 1L 棕色容量瓶中稀释至刻度,摇匀,用 0.1000mol/L 氯化钠标准溶液对硝酸银溶液进行标定;
c )氯化钠标准溶液 [ c ( NaCl ) =0.1000mol/L] :称取约 10g 氯化钠(基准试剂),盛在称量瓶中,于 130 ℃ ~ 150 ℃ 烘干 2h ,在干燥器内冷却后精确称取 5.8443g ,有水溶解并稀释至 1L ,摇匀。
标定硝酸银溶液( 17g /L );
用移液管吸取 10mL0.1000mol/L 的氯化钠标准溶液于烧杯中,加水稀释至 200mL ,加 4mL 硝酸( 1+1 ),在电磁搅拌下,用硝酸银溶液以电位滴定法测定终点,过等当点后,在同一溶液中再加入 0.1000mol/L 氯化钠标准溶液 10mL ,继续用硝酸银溶液滴定至第二个终点,用二次微商法计算出硝酸银溶液消耗的体积 V 01 , V 02 。
体积 V 0 按式( 8 )计算:
V 0 = V 02 - V 01 ………………………………………( 8 )
式中: V 0 ——10mL0.1000mol/L 氯化钠消耗硝酸银溶液的体积, mL ;
V 01 —— 空白试验中 200mL 水,加 4mL 硝酸( 1+1 )加 10mL0.1000mol/L 氯化钠标准溶液所消耗的硝酸银溶液的体积, mL ;
V 02 —— 空白试验中 200mL 水,加 4mL 硝酸( 1+1 )加 20mL0.1000mol/L 氯化钠标准溶液所消耗的硝酸银溶液的体积, mL 。
浓度 c 按式( 9 )计算:
|
c = |
c ′ V ′ |
………………………………………( 9 ) |
|
V 0 |
式中: c—— 硝酸银溶液的浓度, mol/L ;
c ′ —— 氯化钠标准溶液的浓度, mol/L ;
V ′ —— 氯化钠标准溶液的体积, mL 。
9.3 仪器
a )电位测定仪或酸度仪;
b )银电极或氯电极;
c )甘汞电极;
d )电磁搅拌器;
e )滴定管( 25mL );
f )移液管( 10mL )。
9.4 试验步骤
9.4.1 准确称取外加剂试样 0.5000g ~ 5.0000g ,放入烧杯中,加 200mL 水和 4mL 硝酸( 1+1 ),使溶液呈酸性,搅拌至完全溶解,如不能完全溶解,可用快速定性滤纸过滤,并用蒸馏水洗涤残渣至无氯离子为止。
9.4.2 用移液管加入 10mL0.1000mol/L 的氯化钠标准溶液,烧杯内加入电磁搅拌子,将烧杯放在电磁搅拌器上,开动搅拌器并插入银电极(或氯电极)及甘汞电极,两电极与电位计或酸度计相连接,用硝酸银溶液缓慢滴定,记录电势和对应的滴定管读数。
由于接近等当点时,电势增加很快,此时要缓慢滴加硝酸银溶液,每次定量加入 0.1mL ,当电势发生突变时,表示等当点已过,此时继续滴入硝酸银溶液,直至电势趋向变化平缓。得到第一个终点时硝酸银溶液消耗的体积 V 1 。
9.4.3 在同一溶液中,用移液管再加入 10mL0.1000mol/L 氯化钠标准溶液(此时溶液电势降低),继续用硝酸银溶液滴定,直至第二个等当点出现,记录电势和对应的 0.1mol/L 硝酸银溶液消耗的体积 V 2 。
9.4.4 空白试验 在干净的烧杯中加入 200mL 水和 4mL 硝酸( 1+1 )。用移液管加入 10mL0.1000mol/L 氯化钠标准溶液,在不加入试样的情况下,在电磁搅拌下,缓慢滴加硝酸银溶液,记录电势和对应的滴定管读数,直至第一个终点出现。过等当点后,在同一溶液中,再用移液管加入 0.1000mol/L 氯化钠标准溶液 10mL, 继续用硝酸银溶液滴定至第二个终点 , 用二次微商法计算出硝酸银溶液消耗的体积 V 01 及 V 02 。
9.5 结果表示
用二次微商法计算结果。通过电压对体积二次导数(即△ 2 E / △ V 2 )变成零的办法来求出滴定终点。假如在邻近等当点时,每次加入的硝酸银溶液是相等的,此函数(△ 2 E / △ V 2 )必定会在正负两个符号发生变化的体积之间的某一点变成零,对应这一点的体积即为终点体积,可用内插法求得。
外加剂中氯离子所消耗的硝酸银体积 V 按式( 10 )计算:
|
V= |
( V 1 -V 01 ) + ( V 2 -V 02 ) |
………………………………( 10 ) |
|
2 |
式中: V 1 —— 试样溶液加 10mL0.1000mol/L 氯化钠标准溶液所消耗的硝酸银溶液体积, mL ;
V 2 —— 试样溶液加 20mL0.1000mol/L 氯化钠标准溶液所消耗的硝酸银溶液体积, mL 。
外加剂中氯离子含量 X Cl - 按式( 11 )计算:
|
X Cl = = |
c · V × 35.45 |
× 100 ………………………………( 11 ) |
|
m × 1000 |
式中: X Cl = —— 外加剂氯离子含量, % ;
m —— 外加剂样品质量, g 。
用 1.565 乘氯离子的含量,即获得无水氯化钙 X CaCl 2 的含量,按式( 12 )计算:
X CaCl 2 =1.565 × X Cl = ………………………………( 12 )
式中: X CaCl 2 —— 外加剂中无水氯化钙的含量, % 。
9.6 允许差
室内允许差为 0.05% ;
室间允许差为 0.08% ;
10 硫酸钠含量
10.1 重量法
10.1.1 方法提要
氯化钡溶液与外加剂试样中的硫酸盐生成溶解度极小的硫酸钡沉淀,称量经高温灼烧后的沉淀来计算硫酸钠的含量。
10.1.2 试剂
a )盐酸( 1+1 );
b )氯化铵溶液( 50g /L );
c )氯化钡溶液( 100g /L );
d )硝酸银溶液( 1g /L )。
10.1.3 仪器
a )电阻高温炉:最高使用温度不低于 900 ℃ ;
b )天平:不应低于四级,精确至 0.0001g ;
c )电磁电热式搅拌器;
d )瓷坩埚: 18mL~30mL ;
e )烧杯: 400mL ;
f )长颈漏斗;
g )慢速定量滤纸,快速定性滤纸。
10.1.4 试验步骤
10.1.4 .1 准确称取试样约 0.5g ,于 400mL 烧杯中,加入 200mL 水搅拌溶解,再加入氯化铵溶液 50mL ,加热煮沸后,用快速定性滤纸过滤,用水洗涤数次后,将滤液浓度缩至 200mL 左右,滴加盐酸( 1+1 )至浓缩滤液显示酸性,再多加 5 滴 ~10 滴盐酸,煮沸后在不断搅拌下趁热滴加氯化钡溶液 10mL ,继续煮沸 15min ,取下烧杯,置于加热板上,保持 50 ℃ ~ 60 ℃ 静置 2h~4h 或常温静置 8h 。
10.1.4 .2 用两张慢速定量滤纸过滤,烧杯中的沉淀用 70 ℃ 水洗净,使沉淀全部转移到滤纸上,用温热水洗涤沉淀至无氯根为止(用硝酸银溶液检验)。
10.1.4 .3 将沉淀与滤纸移入预先灼烧恒重的坩埚中,小火烘干,灰化。
10.1.4 .4 在 800 ℃ 电阻高温炉中灼烧 30min ,然后在干燥器里冷却至室温(约 30min ),取出称量,再将坩埚放回高温炉中,灼烧 20min ,取出冷却至室温称量,如此反复直至恒量(连续两次称量之差小于 0.0005g )。
10.1.5 结果表示
硫酸钠含量 X Na 2 SO 4 按式( 13 )计算:
|
X Na 2 SO 4 = |
( m 2 — m 1 )× 0.6086 |
×100 …………………………… (13) |
|
m |
式中: X Na 2 SO 4 —— 外加剂中硫酸钠含量, % ;
m —— 试样质量, g ;
m 1 —— 空坩埚质量, g ;
m 2 —— 灼烧后滤渣加坩埚质量, g ;
0.6086—— 硫酸钡换算成硫酸钠的系数。
10.1.6 允许差
室内允许差为 0.50% ;
室间允许差为 0.80% 。
10.2 离子交换重量法
采用重量法测定,试样加入氯化铵溶液沉淀处理过程中,发现絮凝物而不易过滤时改用离子交换重量法。
10.2.1 方法提要
同 10.1.1 。
10.2.2 试剂
同 10.1.2 并增加预先经活化处理过的 717-OH 型阴离子交换树脂。
10.2.3 仪器
同 10.1.3 。
10.2.4 试验步骤
10.2.4 .1 准确称取外加剂样品 0.2000g ~ 0.5000g ,置于盛有 6g 717-OH 型阴离子交换树脂的 100mL 烧杯中,加入 60mL 水和电磁搅拌棒,在电磁电热式搅拌器上加热至 60 ℃ ~ 65 ℃ ,搅拌 10min ,进行离子交换。
10.2.4 .2 将烧杯取下,用快速定性滤纸于三角漏斗上过滤,弃去滤液。
10.2.4 .3 然后用 50 ℃ ~ 60 ℃ 氯化铵溶液洗涤树脂五次,再用温水洗涤五次,将洗液收集于另一干净的 300mL 烧杯中,滴加盐酸( 1+1 )至溶液显示酸性,再多加 5 滴 ~10 滴盐酸,煮沸后在不断搅拌下趁热滴加氯化钡溶液 10mL ,继续煮沸 15min ,取下烧杯,置于加热板上保持 50 ℃ ~ 60 ℃ ,静置 2h~4h 或常温静置 8h 。
10.2.4 .4 重复 10.1.4.2~10.1.4.4 的步骤。
10.2.5 结果表示
同 10.1.5 。
10.2.6 允许差
同 10.1.6 。
11 还原糖含量
本方法适用于测定木质素磺酸盐外加剂还原糖含量,不适用于羟基含量测定。
11.1 方法提要
利用乙酸铅试液脱色,与斐林溶液混合生成氢氧化铜,氢氧化铜与酒石酸钾钠作用生成溶解状态复盐,此复盐具氧化性。当有还原糖存在时,或用葡萄糖溶液滴定时,该复盐中的二价铜被还原为一价铜,葡萄糖氧化为葡萄糖酸,以次甲基蓝为指示剂,在氧化剂中呈蓝色,在还原剂中呈无色。
11.2 试剂
a )乙酸铅溶液( 200g /mL );称量中性乙酸铅 [ ( CH 3 COO ) 2 Pb · 3H 2 O] 20g ,溶于水,稀释至 100mL 。
b )草酸钾、磷酸氢二钠混合液:称取草酸钾( K 2 C 2 O 4 · H 2 O ) 3g ,磷酸氢二钠( Na 2 HPO 4 · 12H 2 O ) 7g 溶于水,稀释至 100mL 。
c )斐林溶液 A :称取 34.6g 硫酸铜( CuSO4 · 5H 2 O )溶于 400mL 水中,煮沸放置一天,然后再煮沸、过滤,稀释至 1000mL 。
d )斐林溶液 B :称取酒石酸钾钠( C 4 H 4 O 6 KNa · 4H 2 O ) 173g ,氢氧化钠 50g ,溶于水中并稀释至 1000mL 。
e )葡萄糖溶液:称取 2.75g ~ 2.76g 葡萄糖于 1L 容量瓶中,加盐酸(密度 1.19 ) 1mL ,加水稀释至刻度。
f )次甲基蓝指示剂( 10g /L ):称取 1g 次甲基蓝,在玛瑙研钵中加少量水研溶后,用水稀释至 100mL 。
11.3 仪器
a )磨口具塞量筒: 50 mL ;
b )三角烧瓶: 100 mL ;
c )移液管: 5 mL , 10mL ;
d )滴定管: 25mL ;
e )容量瓶: 100mL ;
11.4 试验步骤
11.4.1 准确称取固体试样约 2.5g (液体试样称取换算成约 2.5g 固体的相应质量的试样)。溶于 100mL 容量瓶中,用移液管吸取 10mL 置于 50mL 具塞量筒中。
11.4.2 在 50mL 具塞量筒中加入 7.5mL 乙酸铅溶液,振动量筒使之与试液混合,然后加入 10mL 草酸钾、磷酸氢二钠溶液放置片刻,加水稀释至刻度,将量筒颠倒数次,使之混匀后,放置澄清,取上层清液作为试样。
11.4.3 用移液管分别吸取 5mL 斐林溶液 A 及 B 于 100mL 三角烧瓶中,混合均匀后加水 20mL ,然后用移液管吸取试样 10mL ,置于三角烧瓶中,并加适量的葡萄糖溶液,混合均匀后在电炉上加热,待沸腾后加一滴次甲基蓝指示剂,再沸腾 2min ,继续用葡萄糖溶液滴定。并不断摇动,保持沸腾状态,直至最后一滴使次甲基蓝退色为止。
11.4.4 用同样方法做空白试验,所消耗葡萄糖溶液的体积为 V 0 。
11.5 结果表示
还原糖含量 X 还原糖 按式( 14 )计算:
|
X 还原糖 = |
( V 0 - V )× 12.5 |
…………………………………………( 14 ) |
|
m |
式中: X 还原糖 —— 外加剂中还原糖含量, % ;
V 0 —— 空白试验所消耗葡萄糖溶液的体积, mL ;
V —— 试样消耗的葡萄糖溶液的体积, Ml ;
m —— 试样质量, g 。
11.6 注意事项
11.6.1 试样加乙酸铅溶液脱色是为了使还原物等有色物质与铅生成沉淀物。
11.6.2 加草酸钾、磷酸氢二钠溶液是为了除去溶液中的铅,其用量以保证溶液中无过剩铅为准,若过量也会影响脱色。
11.6.3 滴定时必须先加适量葡萄糖溶液,使沸腾后滴定消耗量在 0.5mL 以内,否则终点不明显。
11.7 允许差
室内允许差为 0.05% ;
室间允许差为 1.20%.
12 水泥净浆流动度
12.1 方法提要
在水泥净浆搅拌机中,加入一定量的水泥、外加剂和水进行搅拌。将搅拌好的净浆注入截锥圆模内,提起截锥圆模,测定水泥净浆在玻璃平面上自由流淌的最大直径。
12.2 仪器
a )水泥净浆搅拌机;
b )截锥圆模:上口直径 36mm ,下口直径 60mm ,高度为 60mm ,内壁光滑无接缝的金属制品;
c )玻璃板: 400mm × 400mm × 5mm ;
d )秒表;
e )钢直尺: 300mm ;
f )刮刀;
g )药物天平:称量 100g ,分度值 0.1g ;
h )药物天平:称量 1000g ,分度值 1g 。
12.3 试步骤
12.3.1 将玻璃板放置在水平位置,用温布抹擦玻璃板、截锥圆模、搅拌器及搅拌锅,使其表面湿而不带水渍。将截锥圆模放在玻璃板的中央,并用湿布覆盖待用。
12.3.2 称取水泥 300g ,倒入搅拌锅内,加入推荐掺量的外加剂及 87g 或 105g 水,搅拌 3min 。
12.3.3 将拌好的净浆迅速注入截锥圆模内,用刮刀刮平,将截锥圆模按垂直方向提起,同时开启秒表计时,任水泥净浆在玻璃板上流动,至 30s ,用直尺量取流淌部分互相垂直的两个方向的最大直径,取平均值作为水泥净浆流动度。
12.4 结果表示
表示净浆流动度时,需注明用水量,所用水泥的强度等级标号、名称、型号及生产厂和外加剂掺量。
12.5 允许并
室内允许差为 5mm ;
室间允许差为 10mm 。
13 水泥砂浆工作性
本方法适用于测定外加剂对水泥的分散效果,以水泥砂浆减水率表示其工作性, 当水泥净浆流动度试验不明显时可用此法。
13.1 方法提要
先测定基准砂流动度的用水量,再测定掺外加剂砂浆流动度的用水量,然后,测定加入基准砂浆流动度的用水量时的砂浆流动度。以水泥砂浆减水率表示其工作性。
13.2 仪器
a) 胶砂搅拌机:符合 JC/T618 的要求;
b) 跳桌、截锥圆模及模套、圆柱捣棒、卡尺均应符合 GB/T2419 的规定;
c) 抹刀;
d) 药物天平:称量 100g ,分度值 0.1g ;
e) 台秤:称量 5g 。
13.3 材料
a) 水泥;
b) ISO 标准砂;
砂的颗粒级配及其湿含量完全符合 ISO 标准砂的规定,各级配以 1350g ± 5g 量的塑料袋混合包装,但所用塑料袋材料不得影响砂浆工作性试验结果。
c) 外加剂。
13.4 试验步骤
13.4.1 基准砂浆流动度用水量的测定
13.4.1 .1 先使搅拌机处于待工作状态,然后按以下程序进行操作:把水泥加入锅里,再加入水泥 450g ,把锅放在固定架上,上升至固定位置,然后立即开动机器,低速搅拌 30s 生,在第二个 30s 开始的同时均匀地将砂子加入,机器转至高速再拌 30s 。停拌 90s ,在第一个 15s 内用一抹刀将叶片和锅壁上的胶砂刮入锅中间,在高速下继续搅拌 60s ,各个阶段搅拌进间误差应在± 1s 以内。
13.4.1 .2 在拌和砂浆的同进,用湿布抹擦跳桌的玻璃台面,捣捧、截锥圆模及模套内壁,并把它们置于玻璃台面中心,盖上湿布,备用。
13.4.1 .3 将拌好的砂浆迅速地分两次装入模内,第一次装至截锥模的三分之二处,用抹刀在相互垂直的两个方向各划 5 次,并用捣棒自边缘向中心均匀捣 15 次,接着装第二层砂浆,装至高出截锥圆模约 20mm ,用抹刀划 10 次,同样用捣棒捣 10 ,在装胶砂与捣实时,用手将截锥圆模按住,不要使其产生移动。
13.4.1 .4 捣好后取下模套,用抹刀将高出截锥圆模的砂浆刮去并抹平,随即将截锥圆模垂直向上提起置于台上,立即开动跳桌,以每秒一次的频率使跳桌连续跳动 30 次。
13.4.1 .5 跳动完毕用卡尺量出砂浆底部流动直径,取互相垂直的两个直径的平均值为该用水量时的砂浆流动度,用 mm 表示。
13.4.1 .6 重复上述步骤,直至流动度达到 180mm ± 5mm 。当砂浆流动度为 180mm ± 5mm 时的用水量即为基准砂浆流动度的用水量 M 0 。
13.4.2 将水和外加剂加入锅里搅拌均匀,按 13.4.1 的操作步骤测出掺外加剂砂浆流动度达 180mm ± 5mm 时的用水量 M 1 。
13.4.3 将外加剂和基准砂浆流动度的用水量 M 0 加入锅中,人工搅拌均匀,再按 13.4.1 的操作步骤,测定加入基准砂浆流动度的用水量时的砂浆流动度,以 mm 表示。
13.5 结果表示
13.5.1 砂浆减水率
砂浆减水率( % )按式( 15 )计算:
|
砂浆减水率 = |
M 0 — M 1 |
× 100 ……………………………………( 15 ) |
|
M 0 |
式中: M 0 —— 基准砂浆流动度为 180mm ± 5mm 时的用水量, g ;
M 1 —— 掺外加剂的砂浆流动度为 180mm ± 5mm 时的用水量, g 。
13.5.2 注明所用水泥的标号、名称、型号及生产厂。
13.5.3 当仲裁试验时,必须采用基准水泥。
13.6 允许差
室内允许差为砂浆减水率 1.0% ;
室间允许差为砂浆减水率 1.5% 。
14 碱含量
14.1 方法提要
试样用约 80 ℃ 的热水溶解,以氨水分离铁、铝;以碳酸钙分离钙、镁。滤液中的碱(钾和钠),采用相应的滤光片,用火焰光度计进行测定。
14.2 试剂与仪器
a) 盐酸( 1+1 )。
b) 氨水( 1+1 )。
c) 碳酸铵溶液( 100g /L )。
d) 氧化钾、氧化钠标准溶液:精确称取已在 130 ℃ ~ 150 ℃ 烘过 2h 的氯化钾( KCl 光谱纯) 0.7920g 及氯化钠( NaCl 光谱纯) 0.9430g ,置于烧杯中,加水溶液后,移入 1000mL 容量瓶中,用水稀释至标线,摇匀,转移至干燥带盖的塑料瓶中。此标准溶液每毫升相当于氧化钾及氧化钠 0.5mg 。
e) 甲基红指示剂( 2g /L 乙醇溶液)。
f) 火焰光度计。
14.3 试验步骤
14.3.1 工作曲线的绘制
分别向 100mL 容量瓶中注入 0.00 ; 1.00 ; 2.00 ; 4.00 ; 8.00 ; 12.00mL 的氧化钾、氧化钠标准溶液(分别相当于于氧化钾、氧化钠各 0.00 ; 0.50 ; 1.00 ; 2.00 ; 4.00 ; 6.00mg ),用水稀释至标线,摇匀,然后分别于火焰光度计上按仪器使用规程进行测定,根据测得的检检流计读数与溶液的浓度关系,分别绘制氧化钾及氧化钠的工作曲线。
14.3.2 准确称取一定量的试样置于 150mL 的瓷蒸发皿中,用 80 ℃ 左右的热水润湿并稀释至 30mL ,置于电热板上加热蒸发,保持微沸 5min 后取下,冷却,加 1 滴甲基红指示剂,滴加氨水( 1+1 ),使溶液呈黄色;加入 10mL 碳酸铵溶液,搅拌,置于电热板上加热并保持微沸 10min ,用中速滤纸达滤,以热水洗涤,滤液及洗液盛于容量瓶中,冷却至室温,以盐酸( 1+1 )中和至溶液呈红色,然后用水稀释至标线,摇匀,发火焰光度计按仪器使用规程进行测定。称样量及稀释倍数见表 1 。
表 1 称样量及稀释倍数
|
总碱量, % |
称样量, g |
稀释体积, mL |
稀释倍数 n |
|
1.00 |
0.2 |
100 |
1 |
|
1.00~5.00 |
0.1 |
250 |
2.5 |
|
5.00~10.00 |
0.05 |
250 或 500 |
2.5 或 5.0 |
|
大于 10.00 |
0.05 |
500 或 1000 |
5.0 或 10.0 |
14.4 结果表示
14.4.1 氧化钾与氧化钠含量计量
氧化钾含量 X K 2 O 按( 16 )式计算:
|
X K 2 O = |
C 1 · n |
× 100 ………………………………( 16 ) |
|
m × 1000 |
式中: X K 2 O —— 外加剂中氧化钾含量, %
C 1 —— 在工作曲线上查得每 100mL 被测定液中氧化钾的含量, mg ;
n —— 被测溶液的稀释倍数;
m —— 试样质量, g 。
氧化钠含量 X Na 2 O 按( 17 )式计算:
|
X Na 2 O = |
C 2 · n |
× 100 ………………………………( 17 ) |
|
m × 1000 |
式中: X Na 2 O —— 外加剂中氧化钠含量, % ;
C 2 —— 在工作曲线上查得每 100mL 被测溶液中氧化钠的含量, mg 。
14.4.2 X 总碱量 按 (18) 式计算
X 总碱量 =0.658 × X K 2 O + X Na 2 O …………………………………( 18 )
式中: X Na 2 O —— 外加剂中的总碱量, % 。
14.5 允许差
允许差见表 2 。
表 2 总碱量的允许差
|
总碱量, % |
室内允许差, % |
室间允许差, % |
|
1.00 |
0.10 |
0.15 |
|
1.00~5.00 |
0.20 |
0.30 |
|
5.00~10.00 |
0.30 |
0.50 |
|
大于 10.00 |
0.50 |
0.80 |
|
注 1 矿物质的混凝土外加剂:如膨胀剂等,不在此范围之内。 2 总碱量的测定亦可采用原子吸收光谱法,参见 GB/T 17 6 — 1996 中 3.11.2 。 | ||
附录 A
(标准的附录)
二次微商法计算混凝土外加剂中氯离子百分含量实例
A1 空白试验及硝酸银浓度的标定:
|
加 10mL0.1000mol/L 氯化钠 |
加 20ML0.1000mol/L 氯化钠 | ||||||
|
滴加硝酸银体积 V 01 mL |
电势 E mV |
△ E/ △ v Mv/mL |
△ E 2 / △ v 2 (mV/mL) 2 |
滴加硝酸银体积 V 02 mL |
电势 E mV |
△ E/ △ v Mv/mL |
△ E 2 / △ v 2 (mV/mL) 2 |
|
10.30 10.40 10.50 10.60 |
242 253 267 280 |
110 140 130 |
300 -100 |
20.20 20.30 20.40 20.50 |
240 251 264 276 |
110 130 120 |
200 -100 |
计算:

A2 称取外加剂样品 0.7696g ,加 200mL 蒸馏水,溶解后加 4mL 硝酸( 1+1 ),用硝酸银溶液滴定:
|
加 10mL0.1000mol/L 氯化钠 |
加 20ML0.1000mol/L 氯化钠 | ||||||
|
滴加硝酸银体积 V 1 mL |
电势 E mV |
△ E/ △ v Mv/mL |
△ E 2 / △ v 2 (mV/mL) 2 |
滴加硝酸银体积 V 2 mL |
电势 E mV |
△ E/ △ v Mv/mL |
△ E 2 / △ v 2 (mV/mL) 2 |
|
13.20 13.30 13.40 13.50 |
244 256 269 280 |
120 130 110 |
100 -200 |
23.20 23.30 23.40 23.50 |
241 252 264 275 |
110 1210 110 |
100 -100 |
计算:

![]() |
![]() |
[应用实例 2 ]
冬季低浓萘系的应用
近年,尽管我国已陆续推出了诸如聚羧酸系等新一代的高效外加剂,但合成类母料的市场份额,传统的萘系外加剂仍然占约 83 %。而在萘系品种的内部,低浓型,即高硫酸钠型,又占了近 80 %以上,在我国的冬季气温条件下,低浓萘系及其衍生复配产品,都会发生因硫酸钠过饱和而结晶的现象。无论是萘系母料的针簇状结晶,还是衍生复配产品的混有淤泥的结晶,均会产生管路堵塞,从而导致使用事故。因此,低浓萘系及其衍生复配产品的抗晶设防课题具有广泛性、普遍性,成为横在萘系生产者和使用者面前必须解决的技术问题。
一、引发低浓萘系及其衍生复配产品冬季结晶的成因
萘系合成工艺的磺化反应,生产者为提高 β —萘磺酸的获得率比例,援引了一条基本化学原理,使某一反应物超过理论摩尔数在此是使用成本较低的硫酸过量的工艺措施。超摩尔、过量的游离硫酸在缩合反应完成后,再使用碱予以中和。视磺化度的不同,使用全钠碱中和高过酸缩合料的产品为低浓型 Na 2 SO 4 为 18 % ~ 21%,( 粉剂 ); 使用钠—钙二元碱中和低过酸缩合料所获的产品为高浓型, Na 2 SO 4 为 2% ~ 5 %。硫酸钠,属无机盐,当其水溶液的浓度超过了该温度下的饱和溶解度值,即会有含 10 个结晶水的十水硫酸钠 Na 2 SO 4 · 10H 2 O 结晶析出,其晶型属无色的单斜晶型 ( 注: Na 2 SO 4 · 10H 2 O 分子量 322.19 ,而 Na 2 SO 4 分子量仅 142 . 04) 。据查,十水硫酸钠的饱和溶解度,单位为每 100g 水中可溶解十水硫酸钠的克数,在 30 ℃ 、 20 ℃ 、 10 ℃ 、 0 ℃ 时分别为: 40.8g 、 19.4g 、 9.0g 、 5. 0g 。以通常低浓萘系水剂所含硫酸钠的数量级,其折算后的饱和溶解度在 20 ℃ 以下有一个突降。根据上海地区的经验,当夜间气温降至 18 ℃ 以下时,低浓萘系水剂母料就有可能析晶;在衍生复配产品中,低浓萘系母料一般约占 60 %~ 85 %,可视为母料带入的硫酸钠被稀释,故其析晶温度降至 13 ℃ 左右。一般来说,沪苏浙地区在农历的寒露,即当年 10 月 10 日~ 15 日起至来年的 4 月 10 日 ~ 15 日期间,最低气温 < 15 ℃ ,在这段时间内,低浓萘系水剂需进行抗晶设防措施;在 10 月 25 日 ~ 30 日至来年 3 月 25 日~ 30 日间,最低气温 < 10 ℃ ,在这段时间内,低浓萘系的衍生复配产品需进行抗晶设防措施。
我国的地理纬度跨度较大,各地冬季日最低气温差别也很大,因此各地的抗晶设防日期段及冬季低浓萘系外加剂临界饱和浓度的计算设定,均要根据当地的气象统计数据定出。
二、低浓萘系及其衍生复配产品的析晶及其危害
众所周知 , 结晶条件不同 , 如某主成分盐的浓度在某温度下过饱和的差幅 、共溶杂质盐的品种溶解度与含量、结晶液的动静状态、降温的速度梯度、气压等等 , 将导致生成不同形态、不同个体的结晶体。
对低浓萘系、衍生复配产品及其所处的使用条件而言 , 在秋冬交接的浅冷时段 , 由于外加剂液中的十水硫酸钠浓度与该时段下的饱和溶解度值的差幅较小 , 析晶呈似玻璃纤维状的细碎晶须 ; 而到仲冬以后的深冷时段 , 该差幅一下拉得很大 , 析晶 多呈绒线棒针状 ( 降温速度梯度慢的试验条件下,可致筷子粗 ) 。搅拌站如按正常的连续节奏生产,储箱内的外加剂液频繁地被抽吸,处于不停的扰动状态,晶格不可能链式延接、发育、长大,基本是呈碎晶须、短晶针状,并星散地分布。在低浓萘系及其衍生复配产品发生析晶后,由于部分硫酸钠变成固相,以致降低了溶剂水的总量 ( 结晶体固结带走了 10 个分子的水 ) ,相当于产品中的有效成分 ( 减水、保塑等组分 ) 含量相对被提高,原有的匀质性被破坏,势必会影响到掺比与计量在析晶后的准确性。而当仲冬以后,和搅拌站生产节奏不正常时 ( 有较长的停机、待机时间 ) ,较大的浓度过饱和差幅、充裕的静止状态等促晶条件相叠加,促使晶体发育充分、个体尺寸增大,即引发管阀的堵塞事故。由于衍生复配产品中的其他功能组分,另含有一定数量的泥状不溶物 ( 如木钙 ) ,其与针、须状的晶屑易产生“混凝”效果,管阀堵塞则更甚于低浓萘系母料。
由上所述,析晶发生后,由于不确定数量的成分转变成固相,首先引起外加剂有效成分、匀质性和对混凝土的作用性能直接发生了变化;其次,析出的结晶体与混晶物在储存、运输、使用计量等环节上,因堵塞又会诱发一系列的次生技术故障,这两项的后果均会影响到冬季外加剂使用的准确性和安全性。因此,有必要采取有效措施,对低浓萘系母料及其衍生复配产品进行抗晶设防。
三、抗晶设防的不同技术方案及比较
据笔者对沪苏浙地区的抗晶设防技术方案的调研,总结了几种实用方案。
方案一:在需抗晶设防的时间段内,切换萘系母料品种,改低浓为高浓,将致晶主体硫酸钠的含量,彻底地降至年度气候最低温度时的饱和溶解度,即临界结晶点以下,从根本上消解结晶生成的条件。
如:某高浓型粉剂 Na 2 SO 4 含量为 4.2 %、水分 8.0 %、每吨冬季外加剂母料液溶有 340kg 高浓型粉剂,溶液中 Na 2 SO 4 · 10H 2 O 的浓度为 4.84g 。此全高浓母料水剂可以做到在 4 ℃ 无结晶析出;其衍生复配产品 ( 高浓母料水剂吨掺量 73 0 ㎏ ) -3 ℃ 仍无结晶析出。两者的析晶点较理论值低许多,原因是因为上文引用的溶解度常数为纯十水硫酸钠的饱和溶解度,而实际中,在二元盐 ( 萘磺酸甲醛缩合物盐与硫酸钠 ) 、多元盐的共存条件下,混合结晶点 ( 温度 ) 会降低。
方案的优点:①低碱。以该高浓母料衍生复配的冬季型泵送剂, C30 混凝土粉料总量 41 0 ㎏ / m 3 ,泵送剂掺比 1.2 %,母料落入的总碱量仅为 22.4g -Na 2 O / m 3 ,无碱骨料反应之虞。②安全可靠。笔者认为,由于切换高浓母料方案系在原料的源头、一劳永逸地根除消解了生成结晶的充分必要条件,因此是目前最为安全的方案,即使是在产、运、储、计量链发生电气或机械故障甚至停电时,也不会因加热、打回流中断而失防。因此,是一个治本的抗晶设防技术方案。
方案的缺点:价昂。高浓萘系工艺,系用钠 - 钙二元碱中和过量的硫酸,并将其大部分转化为溶解度很低的二水石膏 Na 2 SO 4 · 2H 2 O( 100 ℃ 、 20 ℃ 时的饱和溶解度分别为 0.22g 和 0.24g ) ,再利用 固 - 液分离设备将其与成品 ( 溶液 ) 分离开来。由于被分离的二水石膏的形态为极微细的粉体,具有较高的表面能和很强的吸附性,排出的二水石膏湿滤泥因吸附效应,要带走约 15 ~ 25 % ( 占湿泥重 ) 的成品萘磺酸甲醛缩合物,因此,其料损远高于低浓产品。以等效费比衡量,用高浓母料取代低浓母料的抗晶设防技术方案,成本约需增加 8 %~ 10 %,即 140 元/ 吨~ 175 元/吨。而且,原料生产工艺还有固体废弃物滤泥排出,这是个令高浓母料生产厂头疼不已的环保问题,且迄今未有满意的处理解决办法。
方案二:机械轧晶、破晶方案。
机械轧晶、破晶方案的机理与设备配置,集中体现于“抗结晶储罐”,这是流行于沪苏浙地区搅拌站的一种方法式。其罐的关键结构为:底出阀管径增至 1.5 寸以上,阀下设一个功率约 5kW 的齿轮泵 ( 相当于在管路中安装了 1 台辊齿式破碎机 ) ,回流返罐管的入口设在淤积线以上约 400mm 处,并以切线方向进入。设计的创意在于:借助高于离心泵的负压与泵吸力,冬季将有害的晶须、晶针裹夹于“打回流”的液流中,混同抽入泵腔,借助泵腔内啮合旋转的齿轮将结晶体轧破、轧碎成极微细的小粒,其颗粒尺寸小到可以无障碍地通过管、泵、阀与计量器;而切线进入的液流又可在罐体内形成强力的涡流,得以顶托晶须、晶针,助其呈悬混状态,液体、固体一并吸入齿轮泵;罐内的强力涡流还可限制晶体的发育接延,以维持住晶体的小尺寸。机械破晶方案,需在 1 天内不时地 ( 间隔要短 ) 启动泵打循环回流,用动态来维持和巩固其破晶、碎晶的条件,以达到抗结晶的效果,这是该方案的前提。
在较稳定的环境条件下,如过饱和浓度、静止状态、极慢的降温速度、常压等晶体就会充分地发育,会“长”得异常的粗大。笔者曾做过仲冬条件下的室外自然试验 ( 上海地区元月日平均最低温度 4.3 ℃ ) ,无论用何种容器,只要不气密,容器内的结晶体均呈连体底座的晶簇,状如足球场的草皮 ( 底座 ) 与草丛 ( 晶簇 ) 。“抗结晶储罐”在冬季如能严格按设定的时间程序运行,在不时地的抽吸动态条件下,晶格不可能链式接延,晶体很难发育、长大,只能呈类似于细纤维状的碎晶须、短晶针状,并星散分布。而一旦搅拌站夜间停机,外加剂储存、输送、计量体系处于静态,晶格就有可能链式生长,成为具有连体底座的晶簇,其时的晶针有绒线棒针甚至筷子粗。如若在管道、阀门等咽狭处一旦有晶簇生成,“管有多粗,则底座就有多粗”。由于晶簇底座基本堵塞了流通的截面,即使是齿轮泵的高值抽吸力 , 此时也无法启动打回流,因此无从破晶、碎晶。另外,频繁进行的破晶打回流,也使原已集中在储罐淤积线下的泥质沉淀物,重又悬浮起来,并裹夹于液流中,转移淤积在更难清理的阀门处,新增了因闭合不严而引起的渗液、漏液。齿轮泵原设计是适用于输送黏质油液的泵类,在其使用的限制条件中即明白注有“不适用输送含有固体颗粒的介质”。尽管十水硫酸钠晶体性脆、强度低,泵体齿轮付的齿面也断然经不住这种日损月磨的。方案的设备选型本就有误,因此,该方案不能说是成功的方案。
方案三:加热控温将液温始终控制、保持在该成分浓度条件下的饱和结晶温度以上的技术方案。
以某低浓萘系粉剂 Na 2 SO 4 ,含量 19.2 %、水分 8.0 %、衍生复配的外加剂浓度为 34 %、萘系母料占 86 %计算,理论推算该溶液的 Na 2 SO 4 · 10H 2 O 的浓度为 20.7g 。依经验估计,其结晶点大约在 14 ℃ ~ 17 ℃ ,如再加一定的富余量,将运、储、用全程的温限设定在 > 25 ℃ 是合理和有保证的。
沪苏浙纬度地区的罐体冬季防结晶负荷配置,容量 20t 以下的储罐,可配置 3 根 3kW 的电发热棒,发热棒呈“品”字形设置,包夹外加剂的输出口,发热棒和接线盒设遮雨、防尘罩。测温探头设在距发热棒的最远处,即罐内液体温度最低的部位,温控仪的温度设定值为 45 ℃ ,外加剂竖输管段的尾段外层,再缠以一定长度的电热线,以补偿接力加温,使流进计量筒的外加剂温度 > 35 ℃ 为宜。缠电热线的管段,外层应包以可靠、耐尘的绝缘物,以保证安全。某搅拌站冬季 11 月 10 日 到第二年 3 月 15 日期间 ( 生产天数 85 天 ) ,混凝土的生产量为 7.5 万 m 3 ,耗冬季型泵送剂 723t ,计量筒处外加剂出液的平均温度,实际抽查为 39 ℃ ,整个冬季无结晶堵塞事故发生。在发热棒实际加热工作时数内累计耗电 1.47 万 kWh ,按工作时段的峰一平一谷电价,整个冬季的加热控温抗晶电费计 6868 元,折合吨外加剂 9.50 元,仅为冬季型泵送剂售价 (2150 元/吨 ) 的 0.44 %。
本方案的关键在于加热温控仪温度的设定值,一定要通过具体试验合理设定,高了浪费,低了又会结晶堵塞。建议先设定一个高值,然后试验着逐渐降低,直至安全合理值。
方案四:极值气温临界饱和浓度方案,即大辐度地稀释方案。
将使用态的冬季型泵送剂浓度,彻底稀释降至当地冬季极值气温的饱和浓度以下。以某低浓萘系粉剂 Na 2 SO 4 含量 19.2 %、水分 8.0 %、其中低浓萘系母料占 86 % ( 与高浓 73 %等效 ) 计算,如每吨使用态的冬季型泵送剂百分浓度稀释降至 12 %,理论推算该溶液的 Na 2 SO 4 · 10H 2 O 的浓度仅为 5.19g ,经 2005 年~ 2006 年冬季 (12 月、 1 元、 2 月的日均低温: 6.7 ℃ 、 4.3 ℃ 、 5.4 ℃ ,绝对最低温度 -3.3 ℃ ) 的生产使用检验,无结晶析出,也无堵塞事故发生。
大辐度稀释方案引起的外加剂计量增量及扣水增量问题。以 2m 3 搅拌机为例,原掺比 1.2 %的 C30 混凝土 ( 粉料总量 410kg /m 3 ) ,改用稀释方案后单盘用量增加至 13.94kg ( 约合 12.7L ) 。目前国内搅拌楼配置的外加剂计量筒一般均为 50L ~ 60L ,因此,浓度大辐稀释后,计量盛器的容量不存在问题。混凝土实际生产中,外加剂引入的水量须从配方总水量内予以扣减。在采用稀释抗晶设防技术方案时,本例混凝土引入的水量也仅为 12. 3 ㎏ /m 3 ,即使同时遭强降水 ( 粗细集料的饱和吸水也要扣减 ) 和低水灰比混凝土时 ( 如上海地区规定楼板混凝土用水< 180kg /m 3 在拌和总水量中扣减如此数量级的水量 (12. 3 ㎏ ) ,也还是游刃有余,不致存在困难的。
但该方案的缺点是,①切换为冬季临界饱和浓度 (12 %~ 15 % ) 时,需调整搅拌楼电脑外加剂的计量和折扣水量,而恢复 34 %的正常浓度时需再一次重新调整回来。②要改变原有正常浓度的使用习惯。
现阶段我国仍然还处在萘系外加剂当家的时代,在解决低浓萘系及其衍生复配产品冬季析晶难题的诸多技术方案中,极值气温临界饱和浓度方案无疑是一个较好的方案,尤其是在搅拌站自产自营外加剂模式蔚然成风的大趋势下,更能凸现其经济性 ( 可再节约因稀释而增加的运费成本部分 ) 和合理性 ( 可自主选择完全适合本站运行的最佳临界饱和浓度和配方 ) 。由于加热控温的抗晶设防技术方案,能完全与现行的浓度体系接轨,不改变原有的使用习惯,因此,在设备管理基础较好的搅拌站,该方案也不失为一个好的抗晶方案。
检测报告
















































































